精英家教网 > 高中数学 > 题目详情

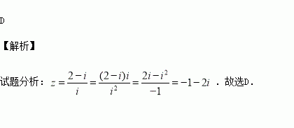
设复数满足,(为虚数单位),则( )

A. B. C. D.

练习册系列答案
相关习题

科目:高中数学 来源:2015-2016学年安徽省高二下周末检测三文数学卷(解析版) 题型:选择题

已知函数,则的值域是( )

A. B. C. D.

查看答案和解析>>

科目:高中数学 来源:2015-2016学年福建上杭一中高一下期末模拟二数学试卷(解析版) 题型:选择题

,已知),猜想等于( )

A. B. C. D.

查看答案和解析>>

科目:高中数学 来源:2016届辽宁省高三四模文科数学试卷(解析版) 题型:填空题

已知一组正数的方差,则数据的平均数为________.

查看答案和解析>>

科目:高中数学 来源:2016届辽宁省高三四模文科数学试卷(解析版) 题型:选择题

关于函数),下列命题正确是( )

A.由可得的整数倍;

B.的表达式可改写成

C.的图象关于点对称;

D.的图象关于直线对称.

查看答案和解析>>

科目:高中数学 来源:2016届辽宁省高三四模理科数学试卷(解析版) 题型:解答题

设函数,其中是实数,已知曲线轴相切于坐标原点.

(1)求常数的值;

(2)当时,关于的不等式恒成立,求实数的取值范围;

(3)求证:.

查看答案和解析>>

科目:高中数学 来源:2016届辽宁省高三四模理科数学试卷(解析版) 题型:填空题

已知实数满足,则的最小值为________.

查看答案和解析>>

科目:高中数学 来源:2015-2016学年福建上杭一中高一下期末模拟一数学试卷(解析版) 题型:解答题

甲、乙两位学生参加数学竞赛培训.现分别从他们在培训期间参加的若干次预赛成绩中随机抽取次,记录如下:

(1)用茎叶图表示这两组数据;

(2)现要从中选派一人参加数学竞赛,你认为选派哪位学生参加合适?请说明理由.

查看答案和解析>>

科目:高中数学 来源:2015-2016学年广西桂林十八中高二下期中文科数学试卷(解析版) 题型:选择题

若复数满足,则

A. B. C. D.

查看答案和解析>>

同步练习册答案