记等差数列{an}的前n项和为Sn,已知a2+a4=6,S4=10.
(1)求数列{an}的通项公式;
(2)令bn=an•2n(n∈N*),求数列{bn}的前n项和Tn.
【答案】
分析:(1):利用待定系数法,设首项和公差,由a
2+a
4=6,S
4=10,列方程组,可得数列首项和公差,从而得解.
(2):由a
n=n,b
n=a
n•2
n=n•2
n可知,要求{b
n}的前n项和,可利用错位相减的方法求得.(一个等差数列和一个等比数列对应项之积组成的数列,可用错位相减法求和)
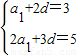
解答:解:(Ⅰ)设等差数列{a
n}的公差为d,由a
2+a
4=6,S
4=10,
可得

,(2分),
即

,
解得

,(4分)
∴a
n=a
1+(n-1)d=1+(n-1)=n,
故所求等差数列{a
n}的通项公式为a
n=n.(5分)
(Ⅱ)依题意,b
n=a
n•2
n=n•2
n,
∴T
n=b
1+b
2++b
n=1×2+2×2
2+3×2
3++(n-1)•2
n-1+n•2
n,(7分)
又2T
n=1×2
2+2×2
3+3×2
4+…+(n-1)•2
n+n•2
n+1,(9分)
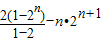
两式相减得-T
n=(2+2
2+2
3++2
n-1+2
n)-n•2
n+1(11分)=

=(1-n)•2
n+1-2,(12分)
∴T
n=(n-1)•2
n+1+2.(13分)
点评:本题是数列求通项和前n项和的题型,高考常见,其中:
(1)可利用利用待定系数法求解,这是解数列题的一般方法,要熟练掌握.
(2)对于一个等差数列和一个等比数列对应项之积组成的数列,可用错位相减法求和,这也是教材推导等比数列前n项和公式时的方法.另外数列求和的方法还有倒序相加,裂项相消,分组求和等方法,要熟练掌握.都是高考中常考的知识点.