精英家教网 > 高中数学 > 题目详情
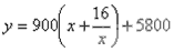
某单位建造一间地面面积为12m2的背面靠墙的矩形小房,由于地理位置的限制,房子侧面的长度x不得超过a米,房屋正面的造价为400元/m2,房屋侧面的造价为150元/m2,屋顶和地面的造价费用合计为5800元,如果墙高为3m,且不计房屋背面的费用,
(1)把房屋总造价y表示成x的函数,并写出该函数的定义域;
(2)当侧面的长度为多少时,总造价最底?最低总造价是多少?
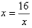
解:(1)由题意,可得
(2)若
当且仅当,即x=4时取等号;
若a<4,
∵a<4,
∴当x∈时,y′<0,
上是减函数;
∴当x=a时,y有最小值
答:若a≥4,则当侧面的长度为4时,总造价最低,是13000元;若a<4,则当侧面的长度为a时,总造价最低,是元。
练习册系列答案
相关习题

科目:高中数学 来源: 题型:

某单位建造一间地面面积为12m2的背面靠墙的矩形小房,由于地理位置的限制,房子侧面的长度x不得超过a米,房屋正面的造价为400元/m2,房屋侧面的造价为150元/m2,屋顶和地面的造价费用合计为5800元,如果墙高为3m,且不计房屋背面的费用.
(1)把房屋总造价y表示成x的函数,并写出该函数的定义域.
(2)当若a≥4时,多少时,总造价最底?最低总造价是多少?

查看答案和解析>>

科目:高中数学 来源: 题型:

某单位建造一间地面面积为12m2的背面靠墙的矩形小房子,由于地理位置的限制,房子侧面的长度x不得超过am.房屋正面的造价为400元/m2,房屋侧面的造价为150元/m2,屋顶和地面的造价费用合计为5800元,如果墙高为3m,且不计房屋背面的费用.当侧面的长度为多少时,总造价最低?

查看答案和解析>>

科目:高中数学 来源: 题型:

(2008•宝坻区一模)某单位建造一间地面面积为12m2的背面靠墙的矩形小房,由于地理位置的限制,房子侧面的长度x不得超过a米,房屋正面的造价为400元/m2,房屋侧面的造价为150元/m2,屋顶和地面的造价费用合计为5800元,如果墙高为3m,且不计房屋背面的费用.
(1)把房屋总价y表示成x的函数,并写出该函数的定义域.
(2)当侧面的长度为多少时,总造价最底?最低总造价是多少?

查看答案和解析>>

科目:高中数学 来源: 题型:

某单位建造一间地面面积为12米2的背面靠墙的矩形小房子,由于地理位置的限制,房子侧面的长度x不得超过a米,房屋正面造价为400元/米2,房屋侧面造价为150元/米2,屋顶和地面造价费用合计5 800元,如果墙高为3米,且不计房屋背面的费用.

(1)把房屋总造价y表示成x的函数,并写出该函数的定义域.

(2)当侧面的长度x为多少时,总造价最低?最低总造价是多少?

查看答案和解析>>

科目:高中数学 来源:2011年贵州省遵义市高二上学期期末考试数学文卷 题型:解答题

(12分) 某单位建造一间地面面积为12的背面靠墙的矩形小屋,房屋正面的造价为1200元/,房屋侧面造价为800元/,屋顶的总造价为5800元,如果墙面高为3m,且不计房屋背面费用,问怎样设计房屋能使得总造价最低,最低造价为多少元?

 

 

查看答案和解析>>

同步练习册答案