精英家教网 > 高中数学 > 题目详情
已知双曲线C:(a>0,b>0)的离心率e=2,且它的一个顶点到相应焦点的距离为1,则双曲线C的方程为    
【答案】分析:先根据离心率和顶点到相应焦点的距离联立方程组求得,a和c,进而求得b,则双曲线的方程可得.
解答:解:将试题条件转化为方程组
解得c=2,a=1,b2=3,再代入.
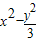
∴双曲线方程为:=1
故答案为:=1
点评:本题主要考查了双曲线的简单性质.考查了学生对双曲线方程中,a,b和c的关系的理解和应用.
练习册系列答案
相关习题

科目:高中数学 来源: 题型:

(08年潍坊市六模)(12分)已知双曲线Ca>0,b>0),B是右顶点,F是右焦点,点Ax轴正半轴上,且满足成等比数列,过F作双曲线C在第一、第三象限的渐近线的垂线l,垂足为P

  (1)求证:

  (2)若l与双曲线C的左、右两支分别相交于点DE,求双曲线C的离心率e的取值范围.

 

查看答案和解析>>

科目:高中数学 来源: 题型:

已知双曲线C:=1(a>0,b>0),B是右顶点,F是右焦点,点A在x轴的正半轴,且满足||、||、||成等比数列,过F作双曲线C在第一、三象限的渐近线的垂线l,垂足为P.

(1)求证:·=·

(2)若l与双曲线C的左、右两支分别交于点D、E,求双曲线C的离心率e的取值范围.

查看答案和解析>>

科目:高中数学 来源: 题型:

已知双曲线C:=1(a>0,b>0),B是右顶点,F是右焦点,点A在x轴正半轴上,且||、||、||成等比数列,过F作双曲线C在第一、三象限的渐近线的垂线l,垂足为P.

(1)求证:·=·

(2)若l与双曲线C的左、右两支分别相交于点D、E,求双曲线离心率e的取值范围.

查看答案和解析>>

科目:高中数学 来源:2013年全国普通高等学校招生统一考试理科数学(全国大纲卷解析版) 题型:解答题

已知双曲线C:(a>0,b>0)的左、右焦点分别为,离心率为3,直线y=2与C的两个交点间的距离为.

(Ⅰ)求a,b;

(Ⅱ)设过的直线l与C的左、右两支分别交于A、B两点,且,证明:成等比数列.

 

查看答案和解析>>

科目:高中数学 来源:2012-2013学年江苏省扬州中学高三(上)周练数学试卷(12.22)(解析版) 题型:填空题

在平面直角坐标系xOy中,已知双曲线C:(a>0)的一条渐近线与直线l:2x-y+1=0垂直,则实数a=   

查看答案和解析>>

同步练习册答案