精英家教网 > 高中数学 > 题目详情
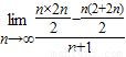
的值为( )
A.-1
B.0
C.
D.1
【答案】分析:利用同分母分式的加法法则,把原式转化为,进一步简化为,由此能求出的值.
解答:解:
=
=
=
=-1.
故选A.
点评:本题考查数列的极限,解题时要注意合理地进行等价转化.
练习册系列答案
相关习题

科目:高中数学 来源: 题型:

定义在R上的函数满足,则的值为

                                               (    )

         A.-1             B.0                C.1                D.2

查看答案和解析>>

科目:高中数学 来源:2014届山东省高二上学期期末模拟理科数学试卷(解析版) 题型:选择题

已知过点P(—2,m),Q(m,4)的直线的倾斜角为45°,则m的值为(  )

A.1                B.2                C.3                D.4

 

查看答案和解析>>

科目:高中数学 来源:2013届浙江省高二下学期期末考试理科数学试卷(解析版) 题型:选择题

定义在R上的函数f(x)满足,则f(3)的值为(    )

A.1             B.2              C.-2             D.-3

 

查看答案和解析>>

科目:高中数学 来源:2014届广东始兴县风度中学高一数学竞赛试卷(解析版) 题型:选择题

已知集合,且,则的值为    (    )

A.1                  B.—1            C.1或—1         D.1或—1或0

 

查看答案和解析>>

科目:高中数学 来源:2013届山东省济南世纪英华实验学校高二下期中理科数学试卷(解析版) 题型:选择题

若复数为纯虚数,则实数的值为(    )

A.-1         B.1       C.-1或3         D.3 .

 

查看答案和解析>>

同步练习册答案