精英家教网 > 高中数学 > 题目详情
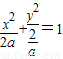
常数a>0,椭圆x2+a2y2=2a的长轴长是短轴长的3倍,则a的值为( )
A.3
B.
C.3或
D.
【答案】分析:先把椭圆方程化为标准方程,然后根据题意列出方程组,解出a即可.
解答:解:x2+a2y2=2a可变为
由题意得,解得a=3.或解得a=
故选C.
点评:本题考查椭圆的标准方程及简单性质,属基础题,注意题意的长轴的数轴.
练习册系列答案
相关习题

科目:高中数学 来源: 题型:

设x1、x2∈R,常数a>0,定义运算“*”:x1*x2=( x1+x22-( x1-x22,若x≥0,则动点P(x,
x*a
)的轨迹是(  )
A、圆
B、椭圆的一部分
C、双曲线的一部分
D、抛物线的一部分

查看答案和解析>>

科目:高中数学 来源: 题型:

常数a>0,椭圆x2+a2y2=2a的长轴长是短轴长的3倍,则a的值为(  )

查看答案和解析>>

科目:高中数学 来源:101网校同步练习 高三数学 苏教版(新课标·2004年初审) 苏教版 题型:013

若常数m>0,椭圆x2-2mx+m2y2=0的长轴是短轴的2倍,则m等于

[  ]
A.

B.2

C.2或

D.

查看答案和解析>>

科目:高中数学 来源:不详 题型:单选题

常数a>0,椭圆x2+a2y2=2a的长轴长是短轴长的3倍,则a的值为(  )
A.3B.
1
3
C.3或
1
3
D.
3
3
3

查看答案和解析>>

同步练习册答案