精英家教网 > 高中数学 > 题目详情

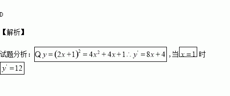
函数处的导数值是( )

A. 6 B.8 C.10 D.12

练习册系列答案
相关习题

科目:高中数学 来源:2015-2016学年江西省宜春市高二下第一次月考文科数学试卷(解析版) 题型:选择题

椭圆2x2+3y2=6的焦距是( )

A.2 B.2() C.2 D.2(+

查看答案和解析>>

科目:高中数学 来源:2015-2016学年江西省高二下学期第一次月考文科数学试卷(解析版) 题型:选择题

在极坐标系中,圆ρ=-2sin θ的圆心的极坐标是( )

A. B. C.(1,0) D.(1,π)

查看答案和解析>>

科目:高中数学 来源:2015-2016学年江西省高二下学期第一次月考理科数学试卷(解析版) 题型:填空题

函数的导函数为

查看答案和解析>>

科目:高中数学 来源:2015-2016学年江西省高二下学期第一次月考理科数学试卷(解析版) 题型:选择题

函数的单调递增区间是( )

A. B. C.(1,4) D.(0,3)

查看答案和解析>>

科目:高中数学 来源:2015-2016学年湖北省孝感六校联盟高一下学期期中考试文科数学卷(解析版) 题型:解答题

已知不等式的解集是

(1)若,求的取值范围;

(2)若,求不等式的解集.

查看答案和解析>>

科目:高中数学 来源:2015-2016学年湖北省孝感六校联盟高一下学期期中考试文科数学卷(解析版) 题型:选择题

若不等式的解集为空集,则实数的取值范围是( )

A. B. C. D.

查看答案和解析>>

科目:高中数学 来源:2015-2016学年上海市高一下学期第一次月考数学试卷(解析版) 题型:选择题

,若,则的值为( )

A. B. C. D.

查看答案和解析>>

科目:高中数学 来源:2015-2016学年江西省赣州市十三县高二下学期期中文科数学试卷(解析版) 题型:解答题

某单位为了调查员工喜欢体育运动是否与性别有关,决定从本单位中抽取50人进行问卷调查,得到了如下列联表:

喜欢体育运动

不喜欢体育运动

合计

男性

5

女性

10

25

合计

30

50

已知在全部50人中随机抽取一人,抽到喜爱打篮球的学生的概率为

(1)请将上面的列联表补充完整;

(2)是否有99.5%的把握认为喜欢体育运动与性别有关?并说明你的理由.

下面的临界值表仅供参考:

P(2≥k)

0.15

0.10

0.05

0.025

0.010

0.005

0.001

k

2.072

2.706

3.841

5.024

6.635

7.879

10.828

参考公式:2= ,其中n=a+b+c+d.

查看答案和解析>>

同步练习册答案