精英家教网 > 高中数学 > 题目详情
若函数y=f(x)为偶函数,且在(0,+∞)上是减函数,又f(3)=0,则的解集为( )
A.(-3,3)
B.(-∞,-3)∪(3,+∞)
C.(-3,0)∪(3,+∞)
D.(-∞,-3)∪(0,3)
【答案】分析:利用函数的奇偶性将不等式进行化简,然后利用函数的单调性确定不等式的解集.
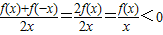
解答:解:因为y=f(x)为偶函数,所以
所以不等式等价为
因为函数y=f(x)为偶函数,且在(0,+∞)上是减函数,又f(3)=0,
所以解得x>3或-3<x<0,
即不等式的解集为(-3,0)∪(3,+∞).
故选C.
点评:本题主要考查函数奇偶性的应用,利用数形结合的思想是解决本题的关键.
练习册系列答案
相关习题

科目:高中数学 来源: 题型:

已知数列{an},{bn}与函数f(x),g(x),x∈R满足条件:an=bn,f(bn)=g(bn+1)(n∈N*).
(I)若f(x)≥tx+1,t≠0,t≠2,g(x)=2x,f(b)≠g(b),
limn→∞
an
存在,求x的取值范围;
(II)若函数y=f(x)为R上的增函数,g(x)=f-1(x),b=1,f(1)<1,证明对任意n∈N*,an+1<an(用t表示).

查看答案和解析>>

科目:高中数学 来源: 题型:

给出以下命题,其中正确命题序号为
(1)(3)(5)
(1)(3)(5)

(1)若函数y=f(x)为偶函数,则函数y=f (x-1)的图象关于直线x=1 对称;
(2)“x≠1”是“x2≠1”的充分不必要条件;
(3)函数y=2lg(x2-2)既是偶函数,又在区间[2,8]上是增函数;
(4)已知f′(x)是函数y=f(x)的导函数,若f′(x0)=0,则x0必为函数的极值点;
(5)某城市现有人口a万人,预计年平均增长率为p.那么该城市第十年年初的人口总数为a(1+p)9万人.

查看答案和解析>>

科目:高中数学 来源: 题型:

已知函数f(x)=(x2+ax+3)ex(x,a∈R)
(1)当a=0时,求函数f(x)的图象在A(1,f(1))处的切线方程.
(2)若函数y=f(x)为单调函数,求实数a的取值范围.
(3)当a=-3时,求f(x)的极小值.

查看答案和解析>>

科目:高中数学 来源: 题型:

设函数y=f(x),x∈R.
(1)若函数y=f(x)为偶函数并且图象关于直线x=a(a≠0)对称,求证:函数y=f(x)为周期函数.
(2)若函数y=f(x)为奇函数并且图象关于直线x=a(a≠0)对称,求证:函数y=f(x)是以4a为周期的函数.
(3)请对(2)中求证的命题进行推广,写出一个真命题,并予以证明.

查看答案和解析>>

科目:高中数学 来源: 题型:

已知函数f(x)=x2-4-k|x-2|.
(1)若函数y=f(x)为偶函数,求k的值;
(2)求函数y=f(x)在区间[0,4]上的最大值;
(3)若函数y=f(x)有且仅有一个零点,求实数k的取值范围.

查看答案和解析>>

同步练习册答案