精英家教网 > 高中数学 > 题目详情
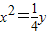
抛物线关于直线x-y=0对称的抛物线的焦点坐标是( )
A.(1,0)
B.(
C.(0,1)
D.
【答案】分析:由题意可得:抛物线关于直线x-y=0对称的抛物线方程为,进而得到抛物线的焦点坐标.
解答:解:由题意可得:抛物线关于直线x-y=0对称的抛物线方程为
所以抛物线的焦点坐标为(
故选B.
点评:本题主要考查抛物线的标准方程,以及抛物线的有关性质.
练习册系列答案
相关习题

科目:高中数学 来源: 题型:

已知抛物线y=-x2+3上存在关于直线x+y=0对称的相异两点A、B,则|AB|=
 

查看答案和解析>>

科目:高中数学 来源: 题型:单选题

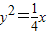
抛物线数学公式关于直线x-y=0对称的抛物线的焦点坐标是


  1. A.
    (1,0)
  2. B.
    数学公式
  3. C.
    (0,1)
  4. D.
    数学公式

查看答案和解析>>

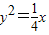
科目:高中数学 来源:2010-2011学年浙江省宁波市鄞州高级中学高二(上)12月月考数学试卷(理科)(解析版) 题型:选择题

抛物线关于直线x-y=0对称的抛物线的焦点坐标是( )
A.(1,0)
B.(
C.(0,1)
D.

查看答案和解析>>

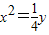
科目:高中数学 来源:2012-2013学年四川省成都七中高二(下)3月月考数学试卷(文科)(解析版) 题型:选择题

抛物线关于直线x-y=0对称的抛物线的焦点坐标是( )
A.(1,0)
B.(
C.(0,1)
D.

查看答案和解析>>

同步练习册答案