精英家教网 > 高中数学 > 题目详情

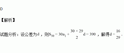
《九章算术》之后,人们学会了用等差数列的知识来解决问题,《张丘建算经》卷上第题为:“今有女善织,日益攻疾(注:从第天开始,每天比前一天多织相同量的布),第一天织尺布,现一月(按天计)共织尺布”,则从第天起每天比前一天多织( )尺布

A. B. C. D.

练习册系列答案
相关习题

科目:高中数学 来源:2017届河南郑州一中网校高三入学测试数学(文)试卷(解析版) 题型:选择题

过椭圆的左焦点轴的垂线交椭圆于点为右焦点,若,则椭圆的离心率为( )

A. B. C. D.

查看答案和解析>>

科目:高中数学 来源:2017届河南新乡一中高三上学期第一次周练数学(文)试卷(解析版) 题型:选择题

如果函数y=a2x+2ax-1(a>0,a≠1)在区间[-1,1]上的最大值是14,则a的值为( )

A. B.1

C.3 D. 或3

查看答案和解析>>

科目:高中数学 来源:2017届贵州遵义市高三第一次联考数学(理)试卷(解析版) 题型:解答题

已知在中,角的对边分别为,且.

(1)求角的大小;

(2)若的面积,求的值.

查看答案和解析>>

科目:高中数学 来源:2017届贵州遵义市高三第一次联考数学(理)试卷(解析版) 题型:选择题

,在约束条件下,目标函数的最大值小于,则的取值范围为( )

A. B. C. D.

查看答案和解析>>

科目:高中数学 来源:2016-2017学年山西怀仁县一中高二上期开学考文数学试卷(解析版) 题型:解答题

已知首项为的等比数列不是递减数列,其前项和为,且成等差数列.

(1)求数列通项公式;

(2)设,求数列的最大项的值与最小项的值.

查看答案和解析>>

科目:高中数学 来源:2016-2017学年山西怀仁县一中高二上期开学考文数学试卷(解析版) 题型:填空题

为锐角, 若,则的值为

查看答案和解析>>

科目:高中数学 来源:2016-2017学年山西怀仁县一中高二上期开学考理数学试卷(解析版) 题型:解答题

等差数列的前项和为,等比数列的公比为,满足.

(1)求数列,通项

(2)求数列的前项和.

查看答案和解析>>

科目:高中数学 来源:2015-2016学年四川南充高级中学高二下期期末理数学试卷(解析版) 题型:选择题

,将表示成分数指数幂,其结果是( )

A. B. C. D.

查看答案和解析>>

同步练习册答案