精英家教网 > 高中数学 > 题目详情

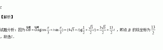
已知点的坐标为,将绕坐标原点逆时针旋转,则点的纵坐标为( )

A. B. C. D.

练习册系列答案
相关习题

科目:高中数学 来源:2015-2016学年广东省普宁市高二上期中文科数学试卷(解析版) 题型:选择题

若直线交抛物线于A,B两点,且线段AB中点到轴的距离为3,则

( )

A、12 B、10 C、8 D、6

查看答案和解析>>

科目:高中数学 来源:2016届辽宁省葫芦岛市高三上学期期中理科数学试卷(解析版) 题型:选择题

函数的定义域为( )

A. B. C. D.

查看答案和解析>>

科目:高中数学 来源:2016届黑龙江省牡丹江市高三上学期期中理科数学试卷(解析版) 题型:选择题

是两条不同的直线,是两个不同的平面,下列命题中正确的是( )

A.若,则

B.若,则

C.若,则

D.若,则

查看答案和解析>>

科目:高中数学 来源:2016届福建省高三上学期期中理科数学试卷(解析版) 题型:解答题

(本小题满分13分)设函数.已知曲线 在点处的切线与直线平行.

(Ⅰ)求的值;

(Ⅱ)是否存在自然数,使得方程内存在唯一的根?如果存在,求出;如果不存在,请说明理由;

(Ⅲ)设函数表示,中的较小值),求的最大值.

查看答案和解析>>

科目:高中数学 来源:2015-2016学年江西南昌二中高二上学期期中文科数学试卷(解析版) 题型:选择题

与椭圆共焦点且过点的双曲线方程是

A. B. C. D.

查看答案和解析>>

科目:高中数学 来源:2015-2016学年吉林省高一上学期期中数学试卷(解析版) 题型:解答题

(本小题12分)已知函数

(Ⅰ)判断的奇偶性,并证明;

(Ⅱ)求使的取值范围.

查看答案和解析>>

科目:高中数学 来源:2015-2016学年湖南省常德市高一上学期期中数学试卷(解析版) 题型:填空题

若函数满足,则___________.

查看答案和解析>>

科目:高中数学 来源:2016届浙江宁波效实中学高三上期中考试文科数学试卷(解析版) 题型:选择题

在各项均为正数的等比数列中,,则( )

A.8 B.6 C.4 D.

查看答案和解析>>

同步练习册答案