精英家教网 > 高中数学 > 题目详情

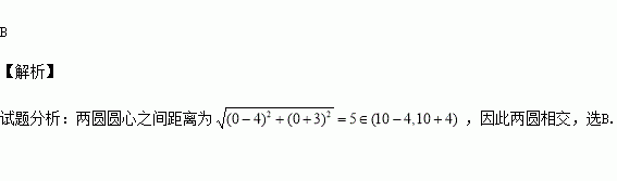
两圆的位置关系是( )

A.相离 B.相交 C.外切 D.内切

练习册系列答案
相关习题

科目:高中数学 来源:2015-2016学年江苏省无锡市四校高一上学期期中考试数学试卷(解析版) 题型:解答题

已知函数

(1)求函数的定义域;

(2)判断函数的奇偶性,并证明;

(3)求使的取值范围.

查看答案和解析>>

科目:高中数学 来源:2016届河北省高三上学期四调文科数学试卷(解析版) 题型:选择题

已知球的直径是该球球面上的两点.,则棱锥的体积为( )

A. B. C. D.

查看答案和解析>>

科目:高中数学 来源:2015-2016学年吉林省高二11月月考理科数学卷(解析版) 题型:选择题

在各项为正数的等比数列中,,前三项的和,则的值为( )

A.33 B.72 C.84 D.189

查看答案和解析>>

科目:高中数学 来源:2015-2016学年湖北武汉华中师大一附高二上期中理数学卷(解析版) 题型:解答题

已知椭圆的离心率为,左、右焦点分别为E、F,椭圆上的点P满足,且△PEF的面积为1,抛物线经过点(2,2).

(Ⅰ)分别求椭圆与抛物线的方程;

(Ⅱ)已知轴上一点,倾斜角为的直线交椭圆于A、B两点,线段AB的中点为M,直线QM交抛物线于C、D两点,四边形ACBD的面积记为S,若对任意直线l,都存在点Q,使得,求实数的取值范围.

查看答案和解析>>

科目:高中数学 来源:2016届宁夏六盘山高中高三上学期第二次月考文科数学试卷(解析版) 题型:选择题

函数的大致图像是( )

查看答案和解析>>

科目:高中数学 来源:2016届江苏省高三上学期周练数学试卷(解析版) 题型:填空题

执行如图所示的程序框图,若输出s的值为11,则输入自然数n的值是

查看答案和解析>>

科目:高中数学 来源:2016届湖北武汉华中师大一附等高三上第一次联考文数学卷(解析版) 题型:选择题

已知某几何体的三视图的侧视图是一个正三角形,如图所示,则该几何体的表面积等于( )

A. B.

C. D.

查看答案和解析>>

科目:高中数学 来源:2014-2015学年贵州省高二上学期半期考试文科数学试卷(解析版) 题型:填空题

某水池的容积是,向水池注水的水龙头A和水龙头B的流速都是,它们在一昼夜内随机开放(小时),水池不溢出水的概率为_____________.

查看答案和解析>>

同步练习册答案