精英家教网 > 高中数学 > 题目详情

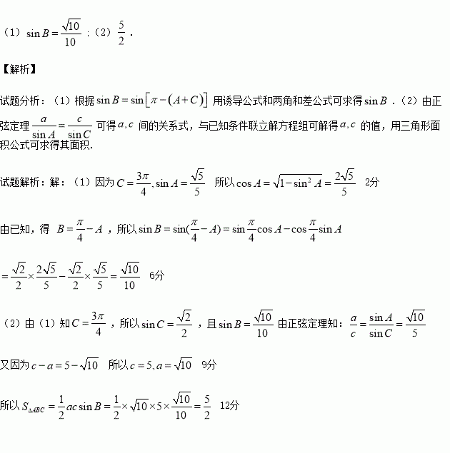
(本题满分12分)在中,角A、B、C所对的边分别为,且

(1)求的值;

(2)若,求的面积。

练习册系列答案
相关习题

科目:高中数学 来源:2014-2015学年山西省高一下期末数学试卷(解析版) 题型:选择题

如果实数x,y满足约束条件,那么2x-y的最大值为

A.2 B.1 C.-2 D.-3

查看答案和解析>>

科目:高中数学 来源:2016届江苏省高三上学期第二次月考理科数学试卷(解析版) 题型:填空题

已知向量,若,则

查看答案和解析>>

科目:高中数学 来源:2016届湖北省、宜昌一中高三10月联考理科数学试卷(解析版) 题型:解答题

(本小题满分10分)选修4-5:不等式选讲

已知函数

(Ⅰ)解不等式

(Ⅱ)若,且,求证:

查看答案和解析>>

科目:高中数学 来源:2015-2016学年甘肃省高一上学期期中数学试卷(解析版) 题型:填空题

设定义在上的偶函数在区间上单调递减,若,则实数的取值范围是________.

查看答案和解析>>

科目:高中数学 来源:2015-2016学年吉林实验中学高二上学期期中理科数学试卷(解析版) 题型:选择题

椭圆上的点到直线的最大距离是( )

(A) (B) (C) (D)

查看答案和解析>>

科目:高中数学 来源:2015-2016学年甘肃省嘉峪关市高二上学期期中考试文科数学试卷(解析版) 题型:选择题

设等差数列的前项和为,若,则当取最小值时, ( )

A. B. C. D.

查看答案和解析>>

科目:高中数学 来源:2016届浙江宁波效实中学高三上期中考试理科数学试卷(解析版) 题型:选择题

一个几何体的三视图如图所示,则该几何体的体积是( )

A.64 B.72 C.80 D.112

查看答案和解析>>

科目:高中数学 来源:2015-2016学年四川绵阳南山中学高二上期中理科数学试卷(解析版) 题型:填空题

已知直线与圆心为的圆相交于两点,且为等边三角形,则实数 .

查看答案和解析>>

同步练习册答案