精英家教网 > 高中数学 > 题目详情

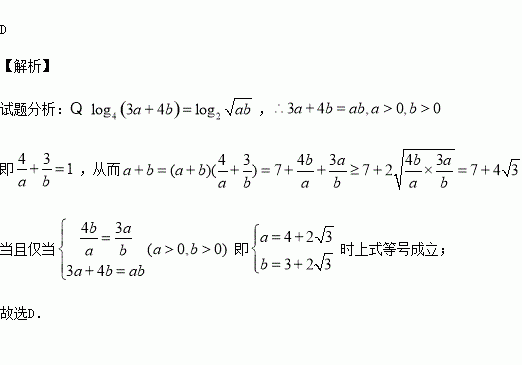
,则的最小值为( )

A. B. C. D.

练习册系列答案
相关习题

科目:高中数学 来源:2015-2016学年辽宁省大连市高二上期中文科数学试卷(解析版) 题型:选择题

平面内到两定点的距离之差的绝对值等于的点的轨迹

(A)椭圆 (B)线段 (C)两条射线 (D)双曲线

查看答案和解析>>

科目:高中数学 来源:2015-2016学年河北省邢台市高二上第一次月考数学试卷(解析版) 题型:填空题

若某几何体的三视图如下图所示,则此几何体的体积是

查看答案和解析>>

科目:高中数学 来源:2016届重庆市高三上学期第三次月考文科数学试卷(解析版) 题型:选择题

已知某几何体的三视图如右图所示,则该几何体的体积是( )

A. B. C. D.

查看答案和解析>>

科目:高中数学 来源:2016届重庆市高三上学期第三次月考理科数学试卷(解析版) 题型:选择题

已知满足约束条件则目标函数的最大值为( )

A.1 B.3 C. D.

查看答案和解析>>

科目:高中数学 来源:2016届云南省玉溪市高三上学期期中理科数学试卷(解析版) 题型:选择题

已知双曲线与抛物线有一个共同的焦点F,两曲线的一个交点为P,若,则点F到双曲线的渐近线的距离为( )

A. B. C. D.

查看答案和解析>>

科目:高中数学 来源:2016届辽宁省葫芦岛市高三上学期期中文科数学试卷(解析版) 题型:选择题

”是“直线在坐标轴上截距相等”的( )条件.

A.充分必要条件 B.充分不必要条件

C.必要不充分条件 D.既不充分也不必要条件

查看答案和解析>>

科目:高中数学 来源:2016届黑龙江省牡丹江市高三上学期期中文科数学试卷(解析版) 题型:选择题

函数的图象是( )

查看答案和解析>>

科目:高中数学 来源:2015-2016学年吉林实验中学高二上学期期中理科数学试卷(解析版) 题型:解答题

(本小题12分)已知

求(Ⅰ)的取值范围;

(Ⅱ)的最小值.

查看答案和解析>>

同步练习册答案