精英家教网 > 高中数学 > 题目详情

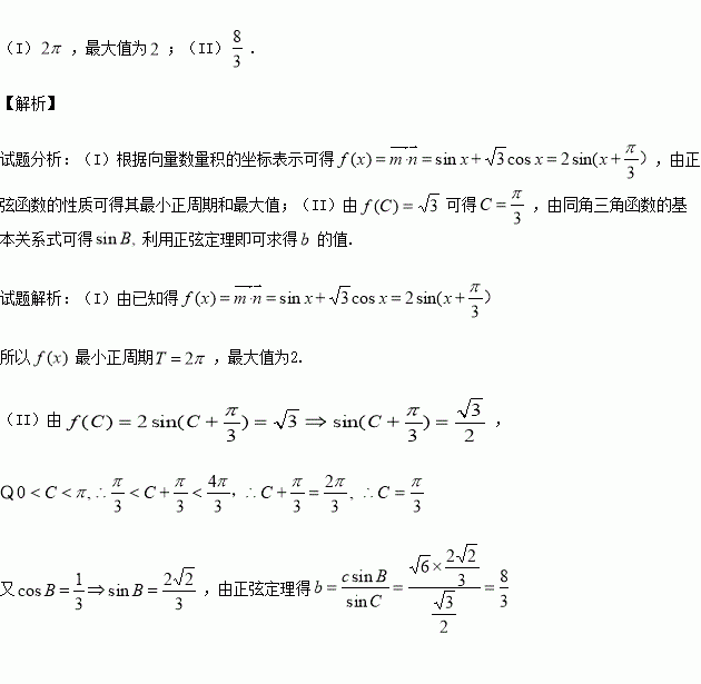
已知向量,设函数.

(I)求函数的最小正周期和最大值;

(II)设锐角的三个内角的对边分别为,若,求.

练习册系列答案
相关习题

科目:高中数学 来源:2016届海南中学高三考前高考模拟十一文科数学试卷(解析版) 题型:选择题

已知为虚数单位,则复数=( )

A. B.

C. D.

查看答案和解析>>

科目:高中数学 来源:2015-2016学年福建省高二下培优补差理数学试卷(解析版) 题型:选择题

,那么的值是( )

A. B. C. D.

查看答案和解析>>

科目:高中数学 来源:2015-2016学年河北省高一下第一次月考数学试卷(解析版) 题型:选择题

已知无穷等差数列,前项和 中,,且,则( )

A.在数列最大; B.在数列中,最大;

C.前三项之和必与前项之和相等; D.当时,.

查看答案和解析>>

科目:高中数学 来源:2015-2016学年河北省高一下第一次月考数学试卷(解析版) 题型:选择题

中,角成等差数列且,则的外接圆面积为( )

A. B. C. D.

查看答案和解析>>

科目:高中数学 来源:2015-2016学年四川省高一下期中数学试卷(解析版) 题型:填空题

已知中,若,则___ ____.

查看答案和解析>>

科目:高中数学 来源:2015-2016学年四川省高一下期中数学试卷(解析版) 题型:选择题

如右图,在圆O中,已知弦长AB=2,则 ( )

A. B. C. D.

查看答案和解析>>

科目:高中数学 来源:2015-2016学年湖南常德石门一中高一下第一次月考数学卷(解析版) 题型:选择题

记集合,集合表示的平面区域分别为.若在区域内任取一点,则点落在区域中的概率为( )

A. B. C. D.

查看答案和解析>>

科目:高中数学 来源:2015-2016学年安徽省高二下期中文科数学试卷(解析版) 题型:解答题

已知函数,对,都有成立,记集合.

(1)当时,求

(2)设命题,若为真命题,求实数的取值范围.

查看答案和解析>>

同步练习册答案