精英家教网 > 高中数学 > 题目详情

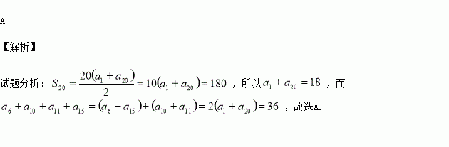
等差数列中,若,则( )

A.36 B.45 C.54 D.63

练习册系列答案
相关习题

科目:高中数学 来源:2015-2016学年广东茂名十七中高二下学期期末数学(文)试卷(解析版) 题型:选择题

下列函数中,是偶函数且在区间(0,+∞)上单调递减的函数是( )

A. y=2x B. y= C.y=2 D. y=-x2

查看答案和解析>>

科目:高中数学 来源:2015-2016学年江苏清江中学高二下期中数学(理)试卷(解析版) 题型:填空题

,利用课本中推导等差数列前n项和公式的方法,可求得

查看答案和解析>>

科目:高中数学 来源:2016-2017学年黑龙江大庆一中高二上开学考数学试卷(解析版) 题型:填空题

平面上有相异两点,直线的倾斜角的取值范围是__________.

查看答案和解析>>

科目:高中数学 来源:2016-2017学年黑龙江大庆一中高二上开学考数学试卷(解析版) 题型:选择题

将函数的图象向左平移个单位,再向上平移1个单位,所得图象的函数解析式是( )

A. B. C. D.

查看答案和解析>>

科目:高中数学 来源:2017届河南安阳市高三9月调研测试数学(文)试卷(解析版) 题型:解答题

已知直角△如图所示,其中分别是边上的中点.现沿折痕翻折,使得与平面外一点重合,得到如图(2)所示的几何体.

(1)证明:平面平面

(2)记平面与平面的交线为,探究:直线是否平行.若平行,请给出证明,若不平行,请说明理由.

查看答案和解析>>

科目:高中数学 来源:2017届河南安阳市高三9月调研测试数学(文)试卷(解析版) 题型:填空题

某学校从高一学生500人,高二学生400人,高三学生300人,用分层抽样的方法从中抽取一个容量为60的样本,则应抽取高一学生的人数为

查看答案和解析>>

科目:高中数学 来源:2017届湖南常德一中高三上学期月考二数学(文)试卷(解析版) 题型:填空题

若函数有两个极值点,则实数的取值范围是________.

查看答案和解析>>

科目:高中数学 来源:2016届山西右玉一中高三冲刺压轴卷四数学(理)试卷(解析版) 题型:解答题

设函数

(1)若函数上单调递增,试求的取值范围;

(2)设函数在点处的切线为,证明:函数图象上的点都不在直线的上方.

查看答案和解析>>

同步练习册答案