科目:高中数学 来源:2014届吉林省高二4月月考文科数学试卷(解析版) 题型:选择题
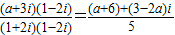
若复数
(a∈R,i为虚数单位)是纯虚数,则实数
的值为( )
A.-2 B.4 C.-6 D.6
查看答案和解析>>
科目:高中数学 来源:2010-2011学年河南省高三12月月考理科数学卷 题型:选择题
若复数
(a∈R,i为虚数单位)是纯虚数,则实数a的值为( )
A. -2 B. 4 C. -6 D. 6
查看答案和解析>>
科目:高中数学 来源:2010-2011学年河南省商丘市高三第二次模拟考试数学理卷 题型:选择题
若复数
(a∈R,i为虚数单位)是纯虚数,则实数a的值为
(A)-2 (B)4 (C)-6 (D)6
查看答案和解析>>
科目:高中数学 来源:2010年浙江省温州市六校高三联考数学试卷(文科)(解析版) 题型:选择题
查看答案和解析>>
湖北省互联网违法和不良信息举报平台 | 网上有害信息举报专区 | 电信诈骗举报专区 | 涉历史虚无主义有害信息举报专区 | 涉企侵权举报专区
违法和不良信息举报电话:027-86699610 举报邮箱:58377363@163.com