定义在R上奇函数f(x)满足:f(2)=0,当x>0时有xf′(x)<f(x)成立,则不等式x2f(x)>0的解集为( )
A.(-∞,-2)
B.(0,2)
C.(-2,0)∪(2,+∞)
D.(-∞,-2)∪(0,2)
【答案】
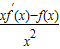
分析:首先根据商函数求导法则,把当x>0时有xf′(x)<f(x)成立,转化为

在(0,+∞)内单调递减;再由f(2)=0,易得f(x)在(0,+∞)内的正负性;最后结合奇函数的图象特征,可得f(x)在(-∞,0)内的正负性.则x
2f(x)>0的解集即可求得.
解答:解:∵当x>0时,有xf′(x)<f(x)成立,
∴

<0恒成立,即[

]′<0恒成立,
∴

在(0,+∞)内单调递减.
∵f(2)=0,
∴在(0,2)内恒有f(x)>0;在(2,+∞)内恒有f(x)<0.
又∵f(x)是定义在R上的奇函数,
∴在(-∞,-2)内恒有f(x)>0;在(-2,0)内恒有f(x)<0.
又不等式x
2f(x)>0的解集,即不等式f(x)>0的解集.
∴答案为(-∞,-2)∪(0,2).
故选D.
点评:本题考查不等式的解集的求法,主要考查函数求导法则及函数单调性与导数的关系,同时考查了奇偶函数的图象特征.