Ä³ÓªÑøÊ¦ÒªÎªÄ³¸ö¶ùͯԤ¶©Îç²ÍºÍÍí²Í£®ÒÑÖªÒ»¸öµ¥Î»µÄÎç²Íº¬12¸öµ¥Î»µÄ̼ˮ»¯ºÏÎï6¸öµ¥Î»µÄµ°°×ÖʺÍ6¸öµ¥Î»µÄάÉúËØC£»Ò»¸öµ¥Î»µÄÍí²Íº¬8¸öµ¥Î»µÄ̼ˮ»¯ºÏÎ6¸öµ¥Î»µÄµ°°×ÖʺÍ10¸öµ¥Î»µÄάÉúËØC£®ÁíÍ⣬¸Ã¶ùͯÕâÁ½²ÍÐèÒªµÄÓªÑøÖÐÖÁÉÙº¬64¸öµ¥Î»µÄ̼ˮ»¯ºÏÎ42¸öµ¥Î»µÄµ°°×ÖʺÍ54¸öµ¥Î»µÄάÉúËØC¡£
Èç¹ûÒ»¸öµ¥Î»µÄÎç²Í¡¢Íí²ÍµÄ·ÑÓ÷ֱðÊÇ2.5ÔªºÍ4Ôª£¬ÄÇôҪÂú×ãÉÏÊöµÄÓªÑøÒªÇ󣬲¢ÇÒ»¨·Ñ×îÉÙ£¬Ó¦µ±Îª¸Ã¶ùͯ·Ö±ðÔ¤¶©¶àÉÙ¸öµ¥Î»µÄÎç²ÍºÍÍí²Í£¿
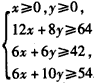
½â£ºÉèÐèÒªÔ¤¶©Âú×ãÒªÇóµÄÎç²ÍºÍÍí²Í·Ö±ðΪx¸öµ¥Î»ºÍy¸öµ¥Î»£¬
Ëù»¨µÄ·ÑÓÃΪzÔª£¬
ÔòÒÀÌâÒâµÃz=2.5x+4y£¬
ÇÒx£¬yÂú×㣬¼´£¬
ÈÃÄ¿±êº¯Êý±íʾµÄÖ±Ïß2.5x+4y=zÔÚ¿ÉÐÐÓò£¨ÈçÓÒͼ£©ÉÏÆ½ÒÆ£¬
ÓÉ´Ë¿ÉÖªz=2.5x+4yÔÚB(4£¬3)´¦È¡µÃ×îСֵ£»
Òò´Ë£¬Ó¦µ±Îª¸Ã¶ùͯԤ¶©4¸öµ¥Î»µÄÎç²ÍºÍ3¸öµ¥Î»µÄÍí²Í£¬
¾Í¿ÉÂú×ãÒªÇó£®
Á·Ï°²áϵÁдð°¸
Ïà¹ØÏ°Ìâ

¿ÆÄ¿£º¸ßÖÐÊýѧ À´Ô´£º2010Äê¸ß¿¼ÊÔÌâ·ÖÏî°æÀí¿ÆÊýѧ֮רÌâÁù ²»µÈʽ ÌâÐÍ£º½â´ðÌâ

Ä³ÓªÑøÊ¦ÒªÎªÄ³¸ö¶ùͯԤ¶¨Îç²ÍºÍÍí²Í¡£ÒÑÖªÒ»¸öµ¥Î»µÄÎç²Íº¬12¸öµ¥Î»µÄ̼ˮ»¯ºÏÎï6¸öµ¥Î»µ°°×ÖʺÍ6¸öµ¥Î»µÄάÉúËØC£»Ò»¸öµ¥Î»µÄÍí²Íº¬8¸öµ¥Î»µÄ̼ˮ»¯ºÏÎ6¸öµ¥Î»µÄµ°°×ÖʺÍ10¸öµ¥Î»µÄάÉúËØC.ÁíÍ⣬¸Ã¶ùͯÕâÁ½²ÍÐèÒªµÄÓªÑøÖÐÖÁÉÙº¬64¸öµ¥Î»µÄ̼ˮ»¯ºÏÎ42¸öµ¥Î»µÄµ°°×ÖʺÍ54¸öµ¥Î»µÄάÉúËØC.
Èç¹ûÒ»¸öµ¥Î»µÄÎç²Í¡¢Íí²ÍµÄ·ÑÓ÷ֱðÊÇ2.5ÔªºÍ4Ôª£¬ÄÇôҪÂú×ãÉÏÊöµÄÓªÑøÒªÇ󣬲¢ÇÒ»¨·Ñ×îÉÙ£¬Ó¦µ±Îª¸Ã¶ùͯ·Ö±ðÔ¤¶¨¶àÉÙ¸öµ¥Î»µÄÎç²ÍºÍÍí²Í£¿

²é¿´´ð°¸ºÍ½âÎö>>

¿ÆÄ¿£º¸ßÖÐÊýѧ À´Ô´£º2011Äê¹ã¶«Ê¡½ÒÑôÊеÚÒ»ÖÐѧ¸ß¶þÉÏѧÆÚÆÚÄ©¼ì²âÊýѧÀí¾í ÌâÐÍ£º½â´ðÌâ

£¨±¾Ìâ14·Ö£©Ä³ÓªÑøÊ¦ÒªÎªÄ³¸ö¶ùͯԤ¶¨Îç²ÍºÍÍí²Í¡£ÒÑÖªÒ»¸öµ¥Î»µÄÎç²Íº¬12¸öµ¥Î»µÄ̼ˮ»¯ºÏÎï¡¢6¸öµ¥Î»µÄµ°°×ÖʺÍ6¸öµ¥Î»µÄάÉúËØC£»Ò»¸öµ¥Î»µÄÍí²Íº¬8¸öµ¥Î»µÄ̼ˮ»¯ºÏÎï¡¢6¸öµ¥Î»µÄµ°°×ÖʺÍ10¸öµ¥Î»µÄάÉúËØC.ÁíÍ⣬¸Ã¶ùͯÕâÁ½²ÍÐèÒªµÄÓªÑøÖÐÖÁÉÙº¬64¸öµ¥Î»µÄ̼ˮ»¯ºÏÎ42¸öµ¥Î»µÄµ°°×ÖʺÍ54¸öµ¥Î»µÄάÉúËØC.Èç¹ûÒ»¸öµ¥Î»µÄÎç²Í¡¢Íí²ÍµÄ·ÑÓ÷ֱðÊÇ2.5ÔªºÍ4Ôª£¬ÄÇôҪÂú×ãÉÏÊöµÄÓªÑøÒªÇ󣬲¢ÇÒ»¨·Ñ×îÉÙ£¬Ó¦µ±Îª¸Ã¶ùͯ·Ö±ðÔ¤¶¨¶àÉÙ¸öµ¥Î»µÄÎç²ÍºÍÍí²Í£¿

²é¿´´ð°¸ºÍ½âÎö>>

¿ÆÄ¿£º¸ßÖÐÊýѧ À´Ô´£º2011Äê¹ã¶«Ê¡½ÒÑôÊи߶þÉÏѧÆÚÆÚÄ©¼ì²âÊýѧÀí¾í ÌâÐÍ£º½â´ðÌâ

£¨±¾Ìâ14·Ö£©Ä³ÓªÑøÊ¦ÒªÎªÄ³¸ö¶ùͯԤ¶¨Îç²ÍºÍÍí²Í¡£ÒÑÖªÒ»¸öµ¥Î»µÄÎç²Íº¬12¸öµ¥Î»µÄ̼ˮ»¯ºÏÎï¡¢6¸öµ¥Î»µÄµ°°×ÖʺÍ6¸öµ¥Î»µÄάÉúËØC£»Ò»¸öµ¥Î»µÄÍí²Íº¬8¸öµ¥Î»µÄ̼ˮ»¯ºÏÎï¡¢6¸öµ¥Î»µÄµ°°×ÖʺÍ10¸öµ¥Î»µÄάÉúËØC.ÁíÍ⣬¸Ã¶ùͯÕâÁ½²ÍÐèÒªµÄÓªÑøÖÐÖÁÉÙº¬64¸öµ¥Î»µÄ̼ˮ»¯ºÏÎ42¸öµ¥Î»µÄµ°°×ÖʺÍ54¸öµ¥Î»µÄάÉúËØC.Èç¹ûÒ»¸öµ¥Î»µÄÎç²Í¡¢Íí²ÍµÄ·ÑÓ÷ֱðÊÇ2.5ÔªºÍ4Ôª£¬ÄÇôҪÂú×ãÉÏÊöµÄÓªÑøÒªÇ󣬲¢ÇÒ»¨·Ñ×îÉÙ£¬Ó¦µ±Îª¸Ã¶ùͯ·Ö±ðÔ¤¶¨¶àÉÙ¸öµ¥Î»µÄÎç²ÍºÍÍí²Í£¿

 

²é¿´´ð°¸ºÍ½âÎö>>

¿ÆÄ¿£º¸ßÖÐÊýѧ À´Ô´£º2010ÄêÆÕͨ¸ßµÈѧУÕÐÉúÈ«¹úͳһ¿¼ÊÔ£¨¹ã¶«¾í£©ÎÄ¿ÆÊýѧȫ½âÈ«Îö ÌâÐÍ£º½â´ðÌâ

£¨±¾Ð¡ÌâÂú·Ö12·Ö£©

Ä³ÓªÑøÊ¦ÒªÎªÄ³¸ö¶ùͯԤ¶¨Îç²ÍºÍÍí²Í.ÒÑÖªÒ»¸öµ¥Î»µÄÎç²Íº¬12¸öµ¥Î»µÄ̼ˮ»¯ºÏÎ6¸öµ¥Î»µÄµ°°×ÖʺÍ6¸öµ¥Î»µÄάÉúËØ£»Ò»¸öµ¥Î»µÄÍí²Íº¬8¸öµ¥Î»µÄ̼ˮ»¯ºÏÎ6¸öµ¥Î»µÄµ°°×ÖʺÍ10¸öµ¥Î»µÄάÉúËØ.ÁíÍ⣬¸Ã¶ùͯÕâÁ½²ÍÐèÒªµÄÓªÑøÖÐÖÁÉÙº¬64¸öµ¥Î»µÄ̼ˮ»¯ºÏÎ42¸öµ¥Î»µÄµ°°×ÖʺÍ54¸öµ¥Î»µÄάÉúËØ.

Èç¹ûÒ»¸öµ¥Î»µÄÎç²Í¡¢Íí²ÍµÄ·ÑÓ÷ֱðÊÇ2.5ÔªºÍ4Ôª£¬ÄÇôҪÂú×ãÉÏÊöµÄÓªÑøÒªÇ󣬲¢ÇÒ»¨·Ñ×îÉÙ£¬Ó¦µ±Îª¸Ã¶ùͯ·Ö±ðÔ¤¶©¶àÉÙ¸öµ¥Î»µÄÎç²ÍºÍÍí²Í?

 

²é¿´´ð°¸ºÍ½âÎö>>

¿ÆÄ¿£º¸ßÖÐÊýѧ À´Ô´£º2010ÄêÆÕͨ¸ßµÈѧУÕÐÉúÈ«¹úͳһ¿¼ÊÔ£¨¹ã¶«A¾í£©Êýѧ£¨Àí¿Æ£© ÌâÐÍ£º½â´ðÌâ

Ä³ÓªÑøÊ¦ÒªÎªÄ³¸ö¶ùͯԤ¶¨Îç²ÍºÍÍí²Í¡£ÒÑÖªÒ»¸öµ¥Î»µÄÎç²Íº¬12¸öµ¥Î»µÄ̼ˮ»¯ºÏÎï6¸öµ¥Î»µ°°×ÖʺÍ6¸öµ¥Î»µÄάÉúËØC£»Ò»¸öµ¥Î»µÄÍí²Íº¬8¸öµ¥Î»µÄ̼ˮ»¯ºÏÎ6¸öµ¥Î»µÄµ°°×ÖʺÍ10¸öµ¥Î»µÄάÉúËØC.ÁíÍ⣬¸Ã¶ùͯÕâÁ½²ÍÐèÒªµÄÓªÑøÖÐÖÁÉÙº¬64¸öµ¥Î»µÄ̼ˮ»¯ºÏÎ42¸öµ¥Î»µÄµ°°×ÖʺÍ54¸öµ¥Î»µÄάÉúËØC.

   Èç¹ûÒ»¸öµ¥Î»µÄÎç²Í¡¢Íí²ÍµÄ·ÑÓ÷ֱðÊÇ2.5ÔªºÍ4Ôª£¬ÄÇôҪÂú×ãÉÏÊöµÄÓªÑøÒªÇ󣬲¢ÇÒ»¨·Ñ×îÉÙ£¬Ó¦µ±Îª¸Ã¶ùͯ·Ö±ðÔ¤¶¨¶àÉÙ¸öµ¥Î»µÄÎç²ÍºÍÍí²Í£¿

 

 

 

²é¿´´ð°¸ºÍ½âÎö>>

ͬ²½Á·Ï°²á´ð°¸