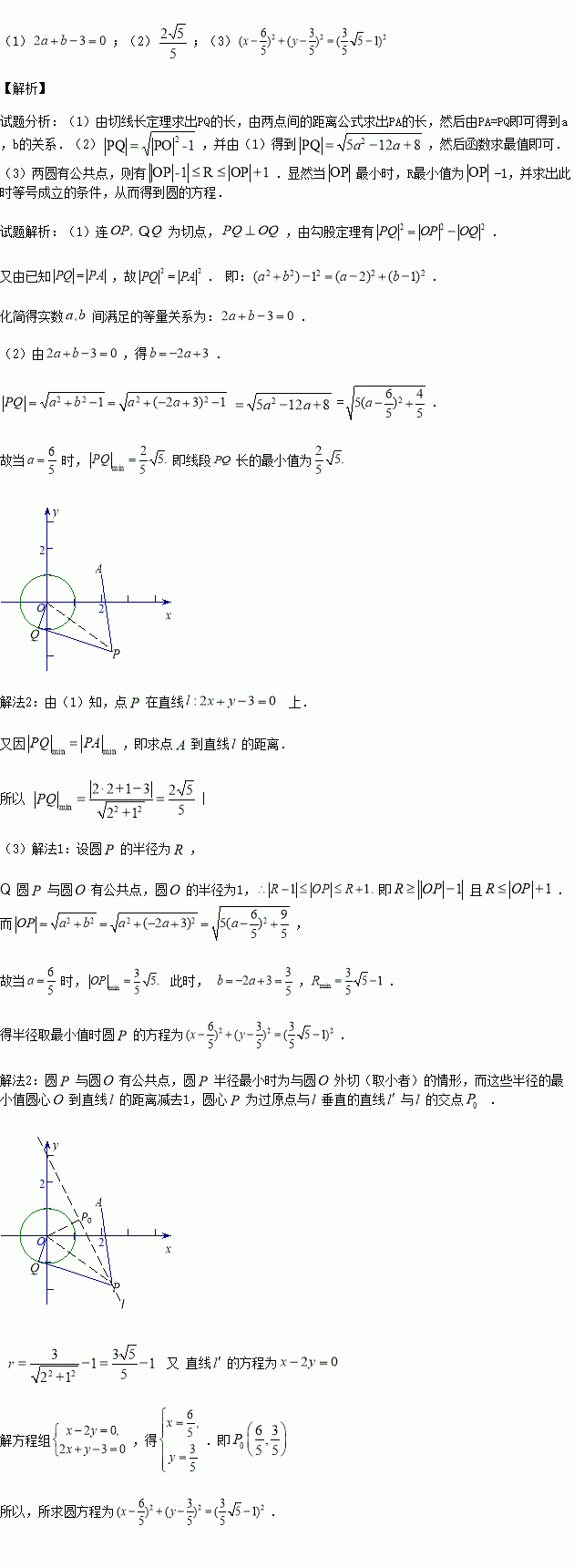
(本小题满分12分)已知圆
和定点
,由圆
外一点
向圆
引切线
,切点为
,且满足
.
![]()
(1) 求实数
间满足的等量关系;
(2) 求线段
长的最小值;
(3) 若以
为圆心的圆
与圆
有公共点,试求圆
的半径最小时圆
的方程.
科目:高中数学 来源:2015-2016学年四川省高二10月月考数学试卷(解析版) 题型:选择题
设l、m、n表示不同的直线,α、β、γ表示不同的平面,给出下列4个命题:
①若m∥l,且m⊥α,则l⊥α;
②若m∥l,且m∥α,则l∥α;
③若α∩β=l,β∩γ=m,γ∩α=n,则l∥m∥n;
④若α∩β=m,β∩γ=l,α∩γ=n,且n∥β,则m∥l.
其中正确命题的个数是( )
A.1 B.2 C.3 D.4
查看答案和解析>>
科目:高中数学 来源:2015-2016学年湖北武汉二中高二上学期期中理科数学试卷(解析版) 题型:选择题
若不等式
成立的充分不必要条件为
,则实数
的取值范围是( )
A.
B.
C.
D.![]()
查看答案和解析>>
科目:高中数学 来源:2015-2016学年湖北荆州中学高一上学期期中理科数学试卷(解析版) 题型:解答题
(本小题满分12分)已知函数
,将函数
的图像向右平移2个单位,再向上平移3个单位可得函数
的图像.
(1)求函数
与
的解析式;
(2)设
,试求函数
的最值.
查看答案和解析>>
科目:高中数学 来源:2015-2016学年湖北荆州中学高二上学期期中理科数学试卷(解析版) 题型:解答题
(本小题满分12分)已知圆
和定点
,由圆
外一点
向圆
引切线
,切点为
,且满足
.
![]()
(1)求实数
间满足的等量关系;
(2)若以
为圆心的圆
与圆
有公共点,试求圆
的半径最小时圆
的方程;
(3)当
点的位置发生变化时,直线
是否过定点,如果是,求出定点坐标,如果不是,说明理由.
查看答案和解析>>
科目:高中数学 来源:2016届广东省惠州市高三上学期第二次调研考试文科数学试卷(解析版) 题型:解答题
(本小题满分12分)为了解惠州市的交通状况,现对其6条道路进行评估,得分分别为:5,6,7,8,9,10。规定评估的平均得分与全市的总体交通状况等级如下表:
![]()
(1)求本次评估的平均得分,并参照上表估计该市的总体交通状况等级;
(2)用简单随机抽样方法从这
条道路中抽取
条,它们的得分组成一个样本,求该样本的平均数与总体
的平均数之差的绝对值不超过
的概率.
查看答案和解析>>
科目:高中数学 来源:2014-2015学年海南省高三下学期大测三理科数学试卷(解析版) 题型:解答题
(本小题满分12分)在三棱柱
中,
,
,
,
与
相交于点
.
![]()
(1)求证:
平面
;
(2)求二面角
的正弦值.
查看答案和解析>>
科目:高中数学 来源:2014-2015学年四川省高二下学期4月月考理科数学试卷(解析版) 题型:选择题
若
的展开式的二项式系数之和为64,则展开式的常数项为( )
A、10 B、20 C、30 D、40
查看答案和解析>>
湖北省互联网违法和不良信息举报平台 | 网上有害信息举报专区 | 电信诈骗举报专区 | 涉历史虚无主义有害信息举报专区 | 涉企侵权举报专区
违法和不良信息举报电话:027-86699610 举报邮箱:58377363@163.com