精英家教网 > 高中数学 > 题目详情
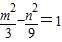
点P在以F1、F2为焦点的双曲线上运动,则△PF1F2的重心G的轨迹方程是   
【答案】分析:设点P(m,n ),则   ①.设△PF1F2的重心G(x,y),则由三角形的重心坐标公式可得x=,y=,解出m、n的解析式代入①化简可得所求.
解答:解:由双曲线的方程可得 a=,b=3,c=2,∴F1(-2,0),F2(-2,0).
设点P(m,n ),则   ①.设△PF1F2的重心G(x,y),则由三角形的重心坐标公式可得
x=,y=,即 m=3x,n=3y,代入①化简可得
3x2-y2=1,故△PF1F2的重心G的轨迹方程是 3x2-y2=1,
故答案为3x2-y2=1.
点评:本题考查用代入法求点的轨迹方程的方法,三角形的重心坐标公式,找出点P(m,n ) 与重心G(x,y) 的坐标间的关系是解题的关键.
练习册系列答案
相关习题

科目:高中数学 来源: 题型:

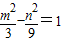
点P在以F1、F2为焦点的双曲线
x2
3
-
y2
9
=1
上运动,则△PF1F2的重心G的轨迹方程是
 

查看答案和解析>>

科目:高中数学 来源: 题型:

点P在以F1、F2为焦点的椭圆
x2
16
+
y2
9
=1
上运动,则△F1F2P的重心G的轨迹方程是
9x2
16
+y2=1
(x≠0)
9x2
16
+y2=1
(x≠0)

查看答案和解析>>

科目:高中数学 来源: 题型:

若点P在以F1,F2为焦点的椭圆上,PF2⊥F1F2tan∠PF1F2=
3
4
,则椭圆的离心率为
1
2
1
2

查看答案和解析>>

科目:高中数学 来源: 题型:

点P在以F1、F2为焦点的椭圆
x2
3
+
y2
4
=1
上运动,则△PF1F2的重心G的轨迹方程是
3x2+
9y2
4
=1
(x≠0)
3x2+
9y2
4
=1
(x≠0)

查看答案和解析>>

科目:高中数学 来源: 题型:

(2013•深圳一模)已知两点F1(-1,0)及F2(1,0),点P在以F1、F2为焦点的椭圆C上,且|PF1|、|F1F2|、|PF2|构成等差数列.
(1)求椭圆C的方程;
(2)如图,动直线l:y=kx+m与椭圆C有且仅有一个公共点,点M,N是直线l上的两点,且F1M⊥l,F2N⊥l.求四边形F1MNF2面积S的最大值.

查看答案和解析>>

同步练习册答案