精英家教网 > 高中数学 > 题目详情
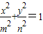
设椭圆(m>0,n>0)的右焦点与抛物线y2=8x的焦点相同,离心率为,则此椭圆的方程为( )
A.
B.
C.
D.
【答案】分析:先求出抛物线的焦点,确定椭圆的焦点在x轴,然后对选项进行验证即可得到答案.
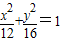
解答:解:∵抛物线的焦点为(2,0),椭圆焦点在x轴上,排除A、C,
排除D,
故选B
点评:本题主要考查抛物线焦点的求法和椭圆的基本性质.圆锥曲线是高考的必考内容,其基本性质一定要熟练掌握.
练习册系列答案
相关习题

科目:高中数学 来源:2008-2009学年广东省佛山一中高二(上)期末数学试卷(理科)(解析版) 题型:选择题

设椭圆(m>0,n>0)的一个焦点与抛物线x2=4y的焦点相同,离心率为则此椭圆的方程为( )
A.
B.
C.
D.

查看答案和解析>>

科目:高中数学 来源:2012-2013学年海南省海口市洋浦中学高三(上)期末数学试卷(文科)(解析版) 题型:选择题

设椭圆(m>0,n>0)的右焦点与抛物线y2=8x的焦点相同,离心率为,则此椭圆的方程为( )
A.
B.
C.
D.

查看答案和解析>>

科目:高中数学 来源:2009-2010学年广东省梅州市梅江区曾宪梓中学高二(下)期中数学试卷(解析版) 题型:选择题

设椭圆(m>0,n>0)的右焦点与抛物线y2=8x的焦点相同,离心率为,则此椭圆的方程为( )
A.
B.
C.
D.

查看答案和解析>>

科目:高中数学 来源:2010-2011学年广东省肇庆市中小学教学目标管理高三(上)统一检测数学试卷(理科)(解析版) 题型:选择题

设椭圆(m>0,n>0)的右焦点与抛物线y2=8x的焦点相同,离心率为,则此椭圆的方程为( )
A.
B.
C.
D.

查看答案和解析>>

科目:高中数学 来源:2008-2009学年广东省惠州市高三第二次调研数学试卷(文科)(解析版) 题型:选择题

设椭圆(m>0,n>0)的右焦点与抛物线y2=8x的焦点相同,离心率为,则此椭圆的方程为( )
A.
B.
C.
D.

查看答案和解析>>

同步练习册答案