精英家教网 > 高中数学 > 题目详情
设椭圆E中心在原点,焦点在x轴上,短轴长为4,点M(2,)在椭圆上.
(1)求椭圆E的方程;
(2)设动直线L交椭圆E于A、B两点,且,求△OAB的面积的取值范围.
【答案】分析:(1)设出椭圆方程,确定b的值,代入M的坐标,即可求得椭圆的方程;
(2)分类讨论,设出直线方程,代入椭圆方程,利用韦达定理,及使,需使x1x2+y1y2=0,表示出三角形的面积,进而可得△OAB的面积的取值范围.
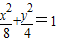
解答:解:(1)椭圆方程为(a>b>0),则b=2
将点M(2,),代入椭圆方程可得,∴a2=8
∴椭圆方程为
(2)当直线L斜率存在时,设方程为y=kx+m,代入椭圆方程,可得(1+2k2)x2+4kmx+2m2-8=0
则△=8(8k2-m2+4)>0,即8k2-m2+4>0(*),
设A(x1,y1),B(x2,y2),则x1+x2=-,x1x2=
∴y1y2=(kx1+m)(kx2+m)=
要使,需使x1x2+y1y2=0,即,所以
将它代入(*)式可得k2∈[0,+∞)    
∵O到L的距离为d=
∴S=|AB|d=|x1-x2|•=|x1-x2|=
①当k=0时,S=
②当AB的斜率不存在时,S=
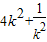
③当k≠0时,S=
∵k2∈(0,+∞),∴∈[4,+∞),∴S∈
综上,S∈
点评:本题考查椭圆的方程,考查直线与椭圆的位置关系,考查分类讨论的数学思想,考查学生分析解决问题的能力,有难度.
练习册系列答案
相关习题

科目:高中数学 来源: 题型:

设椭圆E中心在原点,焦点在x轴上,短轴长为4,点M(2,
2
)在椭圆上.
(1)求椭圆E的方程;
(2)设动直线L交椭圆E于A、B两点,且
OA
OB
,求△OAB的面积的取值范围.

查看答案和解析>>

科目:高中数学 来源:2012-2013学年湖南省元月考理科数学试卷(解析版) 题型:解答题

(本小题满分13分) 设椭圆E中心在原点,焦点在x轴上,短轴长为4,点M(2,)在椭圆上,。

(1)求椭圆E的方程;

(2)设动直线L交椭圆E于A、B两点,且,求△OAB的面积的取值范围。

 

查看答案和解析>>

科目:高中数学 来源:不详 题型:解答题

设椭圆E中心在原点,焦点在x轴上,短轴长为4,点M(2,
2
)在椭圆上.
(1)求椭圆E的方程;
(2)设动直线L交椭圆E于A、B两点,且
OA
OB
,求△OAB的面积的取值范围.

查看答案和解析>>

科目:高中数学 来源:2012-2013学年江西省上饶市余干县黄埠中学高三(上)期末数学试卷(理科)(解析版) 题型:解答题

设椭圆E中心在原点,焦点在x轴上,短轴长为4,点M(2,)在椭圆上.
(1)求椭圆E的方程;
(2)设动直线L交椭圆E于A、B两点,且,求△OAB的面积的取值范围.

查看答案和解析>>

同步练习册答案