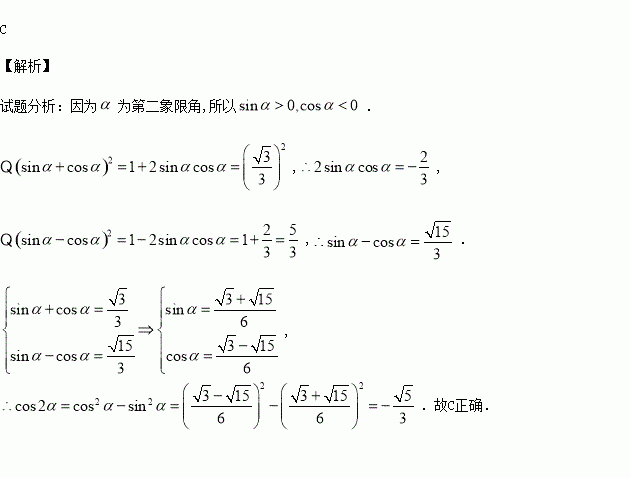
精英家教网 > 高中数学 > 题目详情

已知为第二象限角,,则 ( )

A. B. C. D.

练习册系列答案
相关习题

科目:高中数学 来源:2016届云南省高三适应性月考二文科数学试卷(解析版) 题型:选择题

一个棱锥的三视图如图所示,其中侧视图为正三角形,则该四棱锥的体积是( )

A、 B、 C、 D、

查看答案和解析>>

科目:高中数学 来源:2016届湖北武汉华中师大第一附中高三上期中考试理科数学试卷(解析版) 题型:解答题

(本小题满分10分)(解答过程写在试卷上无效)

已知,(

(1)求函数的值域;

(2)设的内角的对边分别为,若,求的值.

查看答案和解析>>

科目:高中数学 来源:2015-2016学年甘肃省高一上学期期中数学试卷(解析版) 题型:填空题

已知函数,若方程有四个不相等的实数根,则实数的取值范围是

查看答案和解析>>

科目:高中数学 来源:2016届浙江省瑞安市高三上学期第一次四校联考文科数学试卷(解析版) 题型:选择题

下列叙述正确的个数是( )

①若为假命题,则均为假命题;

②若命题,则

③在中“ ”是“”的充要条件;

④若向量满足,则的夹角为钝角。

A、1 B、2 C、3 D、4

查看答案和解析>>

科目:高中数学 来源:2016届江苏省高三九月月考数学试卷(解析版) 题型:填空题

函数的定义域为

查看答案和解析>>

科目:高中数学 来源:2015-2016学年辽宁师范大学附属中学高二10月月考数学试卷(解析版) 题型:填空题

已知点P(x,y)的坐标满足条件的最大值为a,x2+ (y+)2的最小值为b,则a+b=

查看答案和解析>>

科目:高中数学 来源:2015-2016学年江西省南昌市高二10月月考数学试卷(解析版) 题型:选择题

若点在由不等式组确定的平面区域内,则的最大值为( )

A. B. C. D.1

查看答案和解析>>

科目:高中数学 来源:2015-2016学年广东省普宁市高一上学期第一次月考数学试卷(解析版) 题型:选择题

已知a=(cos 40°,sin 40°),b=(sin 20°,cos 20°),则a·b等于( )

A.1 B. C. D.

查看答案和解析>>

同步练习册答案