精英家教网 > 高中数学 > 题目详情

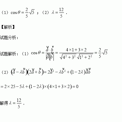
已知向量.

(1)设的夹角为,求的值;

(2)若垂直,求实数的值..

练习册系列答案
相关习题

科目:高中数学 来源:2015-2016学年福建省高二6月月考数学试卷(解析版) 题型:解答题

已知函数的定义域为,满足,且

(1)求函数的解析式;

(2)证明上是增函数;

(3)解不等式

查看答案和解析>>

科目:高中数学 来源:2015-2016学年安徽六安一中高二下开学考试数学试卷(解析版) 题型:选择题

在锐角中,,其面积,则( )

A.5 B. C. D.

查看答案和解析>>

科目:高中数学 来源:2016届吉林省高三下4月月考理科数学试卷(解析版) 题型:选择题

,其中实数满足的最大值为,则的最小值为( )

A. B. C. D.

查看答案和解析>>

科目:高中数学 来源:2016届吉林省高三下4月月考理科数学试卷(解析版) 题型:选择题

复数(i为虚数单位)的共轭复数为( )

A. B. C. D.

查看答案和解析>>

科目:高中数学 来源:2015-2016学年海南省高一下第一次月考数学试卷(解析版) 题型:填空题

中,若,,则___________.

查看答案和解析>>

科目:高中数学 来源:2015-2016学年海南省高一下第一次月考数学试卷(解析版) 题型:选择题

下列函数中,最小正周期是且在区间上是增函数的是( )

A. B. C. D.

查看答案和解析>>

科目:高中数学 来源:2015-2016学年贵州花溪清华中学高一6.25周练数学卷(解析版) 题型:选择题

已知函数(其中),若,则在同一坐标系内的大致图象是( )

查看答案和解析>>

科目:高中数学 来源:2016届山东省高三5月月考文科数学试卷(解析版) 题型:填空题

某多面体的三视图如图所示,其中俯视图为矩形,侧视图为直角三角形,该多面体的体积为__________.

查看答案和解析>>

同步练习册答案