精英家教网 > 高中数学 > 题目详情

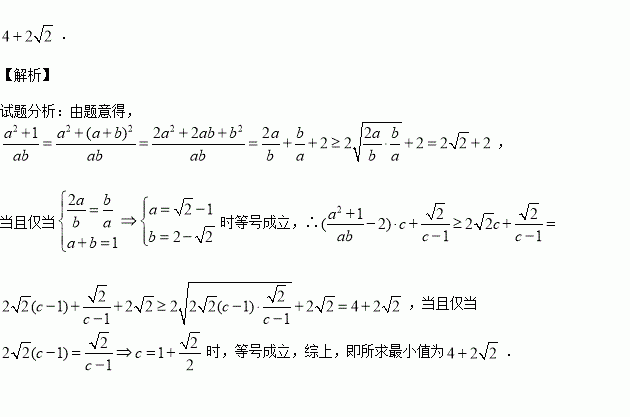
己知,且,则的最小值为

练习册系列答案
相关习题

科目:高中数学 来源:2015-2016学年江西高安中学高二重点上期中文数学卷(解析版) 题型:填空题

设有关于的一元二次方程

(Ⅰ)是从四个数中任取的一个数,是从三个数中任取的一个数,求上述方程有实根的概率;

(Ⅱ)若是从区间任取的一个数,是从区间任取的一个数,求上述方程有实根的概率.

查看答案和解析>>

科目:高中数学 来源:2015-2016学年海南省高一上学期期中数学试卷(解析版) 题型:选择题

已知函数,则不等式>0的解集为( )

A.(2,3) B.(1,3) C.(0,2) D.(1,2)

查看答案和解析>>

科目:高中数学 来源:2015-2016学年广东汕头金山中学高二上12月考理数学卷(解析版) 题型:选择题

设圆的圆心为C,A(1,0)是圆内一定点,Q为圆周上任一点,线段AQ的垂直平分线与CQ的连线交于点,则的轨迹方程为 ( )

A. B.

C. D.

查看答案和解析>>

科目:高中数学 来源:2016届浙江省等高三第一次五校联考文科数学试卷(解析版) 题型:解答题

已知函数

(1)当时,求函数的值域;

(2)设的内角的对应边分别为,且,若向量

与向量共线,求的值.

查看答案和解析>>

科目:高中数学 来源:2015-2016学年山东潍坊中学高二上学期期末理科数学试卷(解析版) 题型:解答题

中满足条件

(Ⅰ)求

(Ⅱ)若,求三角形面积的最大值.

查看答案和解析>>

科目:高中数学 来源:2016届广西河池高中高三上第五次月考文科数学试卷(解析版) 题型:选择题

已知直线经过抛物线的焦点,与交于两点,若,则的值为( )

A. B. C.1 D.2

查看答案和解析>>

科目:高中数学 来源:2016届宁夏银川一中高三上学期第四次月考理科数学试卷(解析版) 题型:选择题

如果实数x、y满足关系,则的取值范围是( )

A.[3,4] B.[2,3] C. D.

查看答案和解析>>

科目:高中数学 来源:2015-2016学年江西省高二上第一次段考文数学卷(解析版) 题型:解答题

的内角所对的边分别为

(Ⅰ)求角的大小;

(Ⅱ)若,求的周长的取值范围.

查看答案和解析>>

同步练习册答案