精英家教网 > 高中数学 > 题目详情

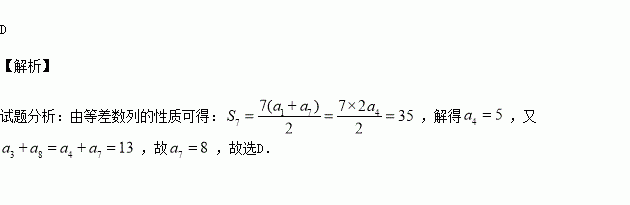
已知等差数列的前n项和为,则( )

A.11 B.10 C.9 D.8

练习册系列答案
相关习题

科目:高中数学 来源:2015-2016学年广东省惠州市高二上期中理科数学试卷(解析版) 题型:选择题

在区间上随机地取一个数,则事件“”发生的概率为( )

A. B. C. D.

查看答案和解析>>

科目:高中数学 来源:2016届山西省高三上期中理科数学试卷(解析版) 题型:选择题

已知函数是奇函数,其中,则函数的图象( )

A.关于点对称

B.可由函数的图象向右平移个单位得到

C.可由函数的图象向左平移个单位得到

D.可由函数的图象向左平移个单位得到

查看答案和解析>>

科目:高中数学 来源:2016届内蒙古赤峰二中高三上12月月考理科数学试卷(解析版) 题型:选择题

已知变量满足: 的最大值为( )

A. B. C.2 D.4

查看答案和解析>>

科目:高中数学 来源:2016届湖南省长沙市高三月考三文科数学试卷(解析版) 题型:填空题

函数,若对于区间上的任意,都有,则实数的最小值是

查看答案和解析>>

科目:高中数学 来源:2016届黑龙江省齐齐哈尔市高三上期中理科数学试卷(解析版) 题型:解答题

设函数,其中,若且图象的两条对称轴间的最近距离是

(1)求函数的解析式;

(2)若是△的三个内角,且,求的取值范围.

查看答案和解析>>

科目:高中数学 来源:2016届黑龙江省齐齐哈尔市高三上期中理科数学试卷(解析版) 题型:选择题

废品率和每吨生铁成本(元)之间的回归直线方程为,这表明( )

A.的相关系数为2

B.的关系是函数关系

C.废品率每增加1%,生铁成本大约增加258元

D.废品率每增加1%,生铁成本每吨大约增加2元

查看答案和解析>>

科目:高中数学 来源:2016届安徽省高三上第五次月考理科数学试卷(解析版) 题型:选择题

若圆上存在两点关于直线对称,则的最小值为( )

A.5 B.7 C. D.9

查看答案和解析>>

科目:高中数学 来源:2016届河北省高三上学期期中考试文科数学试卷(解析版) 题型:选择题

把函数的图象向左平移个单位,得到函数g(x)的图象,若g(x)的图象关于对称,则=( )

A. B. C. D.

查看答案和解析>>

同步练习册答案