精英家教网 > 高中数学 > 题目详情

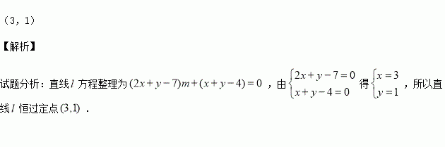
直线.恒经过定点_____________.

练习册系列答案
相关习题

科目:高中数学 来源:2015-2016学年河南省英文学校高二上学期期中考试数学试卷(解析版) 题型:解答题

设锐角三角形ABC的内角A、B、C的对边分别为a、b、c,a=2bsin A.

(1)求角B的大小;

(2)若a=3,c=5,求b.

查看答案和解析>>

科目:高中数学 来源:2015-2016学年西藏日喀则一中高二10月月考文数学试卷(解析版) 题型:选择题

已知点,抛物线的焦点为,射线与抛物线相交于点,与其准线相交于点,则( )

A. B. C. D.

查看答案和解析>>

科目:高中数学 来源:2015-2016学年贵州遵义航天高中高二上学期期中数学试卷(解析版) 题型:选择题

圆M:与圆N:的位置关系是( )

A、相离 B、外切 C、相交 D、内切

查看答案和解析>>

科目:高中数学 来源:2015-2016学年安徽师大附中高二上学期期中文科数学试卷(解析版) 题型:填空题

若直线过点,且与直线垂直,则直线的方程为

查看答案和解析>>

科目:高中数学 来源:2015-2016学年四川省实验学校高二上学期期中理科数学试卷(解析版) 题型:填空题

一个几何体的三视图如图所示,则这个几何体的表面积为

查看答案和解析>>

科目:高中数学 来源:2015-2016学年陕西省西安市高二上学期期中考试理科数学试卷(解析版) 题型:选择题

已知等差数列的公差是2,若a1,a3,a4成等比数列,则a2等于( )

A.-4 B.-6 C.-8 D.-10

查看答案和解析>>

科目:高中数学 来源:2015-2016学年黑龙江省高二上学期期中数学试卷(解析版) 题型:选择题

点M()在圆外,则直线与圆的位置关系是( )

A.相切 B.相交 C.相离 D.不确定

查看答案和解析>>

科目:高中数学 来源:2015-2016学年吉林省扶余市高二上学期期中考试文科数学试卷(解析版) 题型:选择题

=”是“x=y”的( )

A.充分不必要条件 B.必要不充分条件

C.充要条件 D.既不充分也不必要条件

查看答案和解析>>

同步练习册答案