精英家教网 > 高中数学 > 题目详情

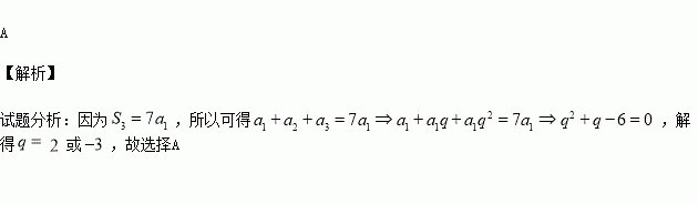
设等比数列{}的前项和为,且,则数列的公比的值为

A. B. C. D.

练习册系列答案
相关习题

科目:高中数学 来源:2016届山东师大附中高三上学期二模文科数学试卷(解析版) 题型:选择题

中,点E为AB边的中点,点F为边AC的中点,BF交CE于点G,若等于( )

A. B.1 C. D.

查看答案和解析>>

科目:高中数学 来源:2015-2016学年四川成都七中高二10月段考文科数学试卷(解析版) 题型:填空题

己知圆,及

轴上动点,当最大时,点坐标为

②过任作一条直线,与圆交于,则

③过任作一条直线,与圆交于,则成立

④任作一条直线与圆交于,则仍有

上述说法正确的是

查看答案和解析>>

科目:高中数学 来源:2015-2016学年江苏省高一上期中考试数学试卷(解析版) 题型:填空题

函数满足对定义域中的任意两个不相等的都成立,则的取值范围是

查看答案和解析>>

科目:高中数学 来源:2014-2015学年四川省高一下学期月考测文科数学试卷(解析版) 题型:选择题

ABC中,A,B,C为内角,且sinAcosA=sinBcosB则△ABC是 ( )

A.等腰三角形 B.直角三角形

C.等腰直角三角形 D.等腰或直角三角形

查看答案和解析>>

科目:高中数学 来源:2014-2015学年浙江省嵊州市高一竞赛数学试卷(解析版) 题型:选择题

已知向量,则 ( )

A. B.3 C. D.2

查看答案和解析>>

科目:高中数学 来源:2014-2015学年浙江省嵊州市高二下期末检测文科数学A卷(解析版) 题型:解答题

(本小题满分15分)

已知椭圆)的一个焦点为,且上一点到其两焦点的距离之和为

(Ⅰ)求椭圆的标准方程;

(Ⅱ)设直线与椭圆交于不同两点,若点满足,求实数的值.

查看答案和解析>>

科目:高中数学 来源:2014-2015学年四川省宜宾市高一下学期期末测试数学试卷(解析版) 题型:填空题

过点,且倾斜角为45°的直线的方程是

查看答案和解析>>

科目:高中数学 来源:2014-2015学年贵州省高二上学期期中文科数学试卷(解析版) 题型:填空题

已知F1、F2为椭圆的两个焦点,过F1的直线交椭圆于A、B两点,若,则= ___________。

查看答案和解析>>

同步练习册答案