精英家教网 > 高中数学 > 题目详情

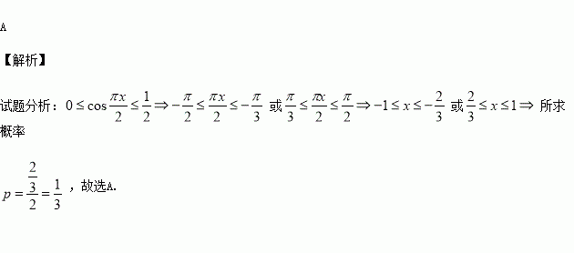
在区间上随机取一个数的值介于0到之间的概率为( )

A. B. C. D.

练习册系列答案
相关习题

科目:高中数学 来源:2017届新疆兵团农二师华山中学高三上学前考数学(文)试卷(解析版) 题型:填空题

给出下列四个命题:

(1)若,则

(2)若,则

(3),则

(4)若,则

其中正确命题的是 .(填所有正确命题的序号)

查看答案和解析>>

科目:高中数学 来源:2016-2017学年河北石家庄市高三理9月摸底数学试卷(解析版) 题型:填空题

在直三棱柱中,,则直三棱柱内切球的表面积的最大值为___.

查看答案和解析>>

科目:高中数学 来源:2016-2017学年河北枣强中学高二上学期月考二数学试卷(解析版) 题型:解答题

从某学校高三年级共800名男生中随机抽取50人测量身高.据测量,被测学生身高全部介于之间,将测量结果按如下方式分成八组:第一组;第二组;…;第八组.如图是按上述分组方法得到的频率分布直方图的一部分.已知第一组与第八组人数相同,第六组、第七组、第八组人数依次构成等差数列.

(1)估计这所学校高三年级全体男生身高在以上(含)的人数;

(2)求第六组、第七组的频率并补充完整频率分布直方图;

(3)若从身高属于第六组和第八组的所有男生中随机抽取两人,记他们的身高分别为,求满足“”的事件的概率.

查看答案和解析>>

科目:高中数学 来源:2016-2017学年河北枣强中学高二上学期月考二数学试卷(解析版) 题型:填空题

在区间中随机地取出两个数,则两数之和小于的概率是_____________.

查看答案和解析>>

科目:高中数学 来源:2016-2017学年河北枣强中学高二上学期月考二数学试卷(解析版) 题型:选择题

是圆外一点,则直线与该圆的位置关系是( )

A.相切 B.相交 C.相离 D.相切或相交

查看答案和解析>>

科目:高中数学 来源:2016-2017学年四川三台中学高二上期晚考9.2数学试卷(解析版) 题型:填空题

过点(1,3)且在x轴的截距为2的直线方程是________.

查看答案和解析>>

科目:高中数学 来源:2016届江苏省高三12月月考数学试卷(解析版) 题型:填空题

一个圆柱和一个圆锥同底等高,若圆锥的侧面积是其底面积的2倍,则圆柱的侧面积是其底面积的_____倍.

查看答案和解析>>

科目:高中数学 来源:2015-2016学年广东茂名十七中高二下学期期末数学(理)试卷(解析版) 题型:填空题

如图,它满足①第n行首尾两数均为n,②表中的递推关系类似杨辉三角,则第n行第2个数是_________.

查看答案和解析>>

同步练习册答案