精英家教网 > 高中数学 > 题目详情

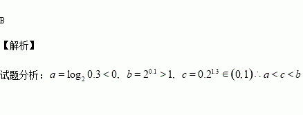
已知,则的大小关系是( )

A. B. C. D.

练习册系列答案
相关习题

科目:高中数学 来源:2015-2016学年吉林省高一上11月月考数学试卷(解析版) 题型:选择题

(2015•洛阳二模)已知点A、B、C、D均在球O上,AB=BC=,AC=3,若三棱锥D﹣ABC体积的最大值为,则球O的表面积为( )

A.36π B.16π C.12π D.π

查看答案和解析>>

科目:高中数学 来源:2015-2016学年江西省南昌市高一10月月考数学试卷(解析版) 题型:解答题

已知f (x)是R上的偶函数,且在(0,+ )上单调递增,并且f (x)<0对一切成立,试判断在(-,0)上的单调性,并证明你的结论.

查看答案和解析>>

科目:高中数学 来源:2015-2016学年内蒙古赤峰市高一9月月考数学试卷(解析版) 题型:选择题

已知全集,则( ).

A. B. C. D.

查看答案和解析>>

科目:高中数学 来源:2015-2016学年福建省宁德市高一上学期期中考试数学试卷(解析版) 题型:填空题

函数)的图象恒过点

查看答案和解析>>

科目:高中数学 来源:2016届江苏省高三上第十八周周练数学试卷(解析版) 题型:解答题

已知函数上有最大值1和最小值0,设

为自然对数的底数).

(1)求的值;

(2)若不等式上有解,求实数的取值范围;

(3)若方程有三个不同的实数解,求实数的取值范围.

查看答案和解析>>

科目:高中数学 来源:2016届江苏省高三上第十八周周练数学试卷(解析版) 题型:填空题

设等比数列的前n项和为,若成等差数列,则的值是________.

查看答案和解析>>

科目:高中数学 来源:2016届江西省高三上学期第三次考试文科数学试卷(解析版) 题型:解答题

已知等比数列是递增数列,,数列满足,且

(Ⅰ)证明:数列是等差数列;

(Ⅱ)若对任意,不等式总成立,求实数的最大值.

查看答案和解析>>

科目:高中数学 来源:2015-2016学年贵州遵义航天高中高二上学期期中数学试卷(解析版) 题型:选择题

正方体中,与平面所成角的余弦值( )

A. B. C. D.

查看答案和解析>>

同步练习册答案