精英家教网 > 高中数学 > 题目详情

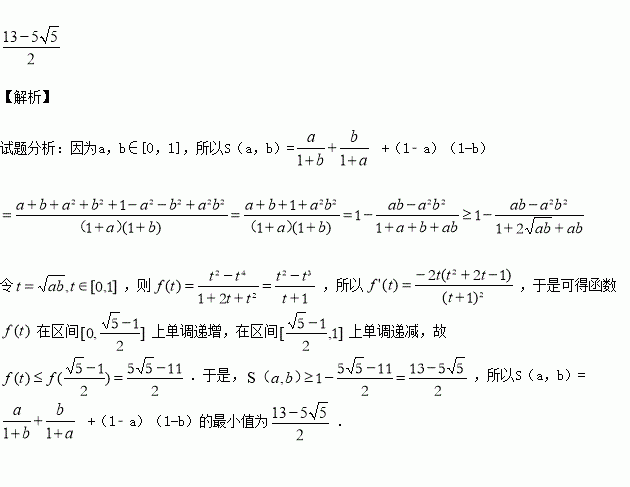
己知a,b∈[0,1],则S(a,b)=+(1a)(1-b)的最小值为

练习册系列答案
相关习题

科目:高中数学 来源: 题型:


已知直三棱柱ABC ­ A′B′C′满足∠BAC=90°,AB=AC=AA′=2,点M,N分别为A′B,B′C′的中点.

(1)求证:MN∥平面A′ACC′;

(2)求三棱锥C ­ MNB的体积.

查看答案和解析>>

科目:高中数学 来源: 题型:


如图K45­6所示,已知正三棱柱ABC ­ A1B1C1的所有棱长都相等,D是A1C1的中点,则直线AD与平面B1DC所成角的正弦值为(  )

A.  B. 

C.  D.

查看答案和解析>>

科目:高中数学 来源:2015-2016学年河南省英文学校高二上学期期中考试数学试卷(解析版) 题型:填空题

若A=(x+3)(x+7),B=(x+4)(x+6),则A、B的大小关系为________.

查看答案和解析>>

科目:高中数学 来源:2016届四川省成都市高三11月段测三文科数学试卷(解析版) 题型:解答题

设命题p:|2x-3|<1;命题q:lg2x - (2t+l)lgx+t(t+l)≤0,

(1)若命题q所表示不等式的解集为A={x|l0≤x≤100},求实数t的值;

(2)若p是q的必要不充分条件,求实数t的取值范围.

查看答案和解析>>

科目:高中数学 来源:2016届江西省高三上学期第三次考试文科数学试卷(解析版) 题型:选择题

若不等式 对一切恒成立,则实数取值的集合为( )

A. B. C. D.

查看答案和解析>>

科目:高中数学 来源:2016届江西省高三上学期第三次考试理科数学试卷(解析版) 题型:选择题

设Sn为等比数列的前n项和,,则= ( )

A.11 B.5 C.-8 D.-11

查看答案和解析>>

科目:高中数学 来源:2015-2016学年江苏省高一上学期期中数学试卷(解析版) 题型:填空题

下列幂函数中:①;②;③;④;其中既是偶函数,又在区间上单调递增的函数是 .(填相应函数的序号).

查看答案和解析>>

科目:高中数学 来源:2015-2016学年山东省高一上学期期中模块考试数学试卷(解析版) 题型:解答题

已知函数 ,设函数

(1)求函数 的定义域及值域;

(2)判断函数的奇偶性,并说明理由。

查看答案和解析>>

同步练习册答案