精英家教网 > 高中数学 > 题目详情
设双曲线的半焦距为c,已知直线l过(a,0),(0,b)两点,且原点O到直线l的距离为,求此双曲线的离心率.
【答案】分析:先求出直线l的方程,利用原点到直线l的距离为 ,及又c2=a2+b2,求出离心率的平方e2,进而求出离心率.
解答:解:由题设条件知直线l的方程为即:ay+bx-ab=0
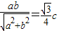
∵原点O到直线l的距离为(4分)
又c2=a2+b2从而16a2(c2-a2)=3c4(6分)
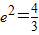
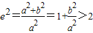
∵a>0∴3e4-16e2+16=0解得:e2=4或(8分)
∵0<a<b∴(10分)
∴e2=4又e>1
所以此双曲线的离心率为2(12分)
点评:本题考查双曲线性质.主要考查求双曲线的离心率常用的方法,注意椭圆中三参数的关系是:a2=b2+c2双曲线中三参数的关系:c2=b2+a2.的不同之处.
练习册系列答案
相关习题

科目:高中数学 来源: 题型:

设双曲线的半焦距为c,两条准线间的距离为d,且c=d,则双曲线的离心率e等于
 

查看答案和解析>>

科目:高中数学 来源: 题型:

设双曲线的半焦距为c,两条准线间的距离为d,且c=d,那么双曲线的离心率e等于(  )
A、2
B、3
C、
2
D、
3

查看答案和解析>>

科目:高中数学 来源: 题型:

设双曲线的半焦距为C,直线L过两点,已知原点到直线L的距离为,则双曲线的离心率为

A  2  B  2或 C    D

查看答案和解析>>

科目:高中数学 来源:2012年高考预测系列试题(数学)高考预测试卷(7)(解析版) 题型:选择题

 设双曲线的半焦距为c,直线l两点,若原点O到l的距离为则双曲线的离心率为(      )

A.或2      B.2     C.        D.

 

查看答案和解析>>

科目:高中数学 来源:2010年江苏省苏南六校高三联考数学试卷(解析版) 题型:解答题

设双曲线的半焦距为c.已知原点到直线l:bx+ay=ab的距离等于,则c的最小值为   

查看答案和解析>>

同步练习册答案