精英家教网 > 高中数学 > 题目详情
如图,椭圆C:(a>b>0)的一个焦点为F(1,0),且过点(2,0)。
(1)求椭圆C的方程;
(2)若AB为垂直于x轴的动弦,直线l:x=4与x轴交于点N,直线AF与BN交于点M。
(i)求证:点M恒在椭圆C上;
(ii)求△AMN面积的最大值。

解:(1)由题设a=2,c=1,从而b2=a2-c2=3,
所以椭圆C的方程为
(2)(i)由题意得F(1,0),N(4,0)
设A(m,n),则B(m,-n)(n≠0),=1  ①
AF与BN的方程分别为:n(x-1)-(m-1)y=0,
n(x-4)-(m-4)y=0
设M(x0,y0),则有n(x0-1)-(m-1)y0=0,②
n(x0-4)+(m-4)y0=0,③
由②,③得
x0=
由于



=1
所以点M恒在椭圆G上。
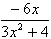
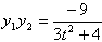
(ii)设AM的方程为x=ty+1,代入=1得(3t2+4)y2+6ty-9=0
设设A(x1,y1),M(x2,y2),则有
y1+y2=
|y1-y2|=
令3t2+4=λ(λ≥4),
则|y1-y2|=
∵λ≥4,
∴当,即
|y1-y2|有最大值3,此时AM过点F
△AMN的面积S△AMN=有最大值

练习册系列答案
相关习题

科目:高中数学 来源: 题型:解答题

如图,椭圆C:数学公式(a>b>0)的一个焦点是F(-数学公式,0),离心率e=数学公式,过点A(0,-2)且不与y轴重合的直线l与椭圆C相交于不同的两点P、Q
(1)求椭圆C的方程;
(2)若点F到直线l的距离为2,求直线l的方程;
(3)问在y轴上是否存在一个定点B,使得直线PB与椭圆C的另一个交点R是点Q关于y轴的对称点?若存在,求出定点B的坐标;若不存在,请说明理由.

查看答案和解析>>

科目:高中数学 来源:2012-2013学年广东省珠海一中高二(上)期中数学试卷(理科)(解析版) 题型:填空题

如图,椭圆C,a,b为常数),动圆,b<t1<a.点A1,A2分别为C的左,右顶点,C1与C相交于A,B,C,D四点.
(Ⅰ)求直线AA1与直线A2B交点M的轨迹方程;
(Ⅱ)设动圆与C相交A′,B′,C′,D′四点,其中b<t2<a,t1≠t2.若矩形ABCD与矩形A′B′C′D′的面积相等,证明:为定值.

查看答案和解析>>

科目:高中数学 来源:2011-2012学年福建省厦门一中高二(上)期中数学试卷(理科)(解析版) 题型:解答题

如图,椭圆C:(a>b>0)的一个焦点为F(1,0),且过点(2,0).
(Ⅰ)求椭圆C的方程;
(Ⅱ)若AB为垂直于x轴的动弦,直线l:x=4与x轴交于点N,直线AF与BN交于点M.
(ⅰ)求证:点M恒在椭圆C上;
(ⅱ)求△AMN面积的最大值.

查看答案和解析>>

科目:高中数学 来源:2008-2009学年北京市昌平区高二(上)期末数学试卷(理科)(解析版) 题型:填空题

如图,椭圆C:(a>b>0)的一个焦点为F(1,0),且过点(2,0).
(Ⅰ)求椭圆C的方程;
(Ⅱ)若AB为垂直于x轴的动弦,直线l:x=4与x轴交于点N,直线AF与BN交于点M.
   (ⅰ)求证:点M恒在椭圆C上;
   (ⅱ)求△AMN面积的最大值.

查看答案和解析>>

科目:高中数学 来源:2008年福建省高考数学试卷(文科)(解析版) 题型:解答题

如图,椭圆C:(a>b>0)的一个焦点为F(1,0),且过点(2,0).
(Ⅰ)求椭圆C的方程;
(Ⅱ)若AB为垂直于x轴的动弦,直线l:x=4与x轴交于点N,直线AF与BN交于点M.
(ⅰ)求证:点M恒在椭圆C上;
(ⅱ)求△AMN面积的最大值.

查看答案和解析>>

同步练习册答案