精英家教网 > 高中数学 > 题目详情
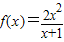
已知函数,函数-2a+2(a>0),若存在x1、x2∈[0,1],使得f(x1)=g(x2)成立,则实数a的取值范围是( )
A.
B.
C.
D.
【答案】分析:根据x的范围确定函数f(x)的值域和g(x)的值域,进而根据f(x1)=g(x2)成立,推断出,先看当二者的交集为空集时刻求得a的范围,进而可求得当集合的交集非空时a的范围.
解答:解:当x∈[0,1]时,值域是[0,1],
值域是
∵存在x1、x2∈[0,1]使得f(x1)=g(x2)成立,

,则2-2a>1或2-<0,即
∴a的取值范围是
故选A
点评:本题主要考查了三角函数的最值,函数的值域问题,不等式的应用.解题的关键是通过看两函数值域之间的关系来确定a的范围.
练习册系列答案
相关习题

科目:高中数学 来源:2012-2013学年山西省长治二中高三(上)第一次练考数学试卷(理科)(解析版) 题型:填空题

已知函数,函数-2a+2(a>0),若存在x1、x2∈[0,1],使得f(x1)=g(x2)成立,则实数a的取值范围是   

查看答案和解析>>

科目:高中数学 来源:2012-2013学年山西省长治二中高三(上)第一次练考数学试卷(理科)(解析版) 题型:填空题

已知函数,函数-2a+2(a>0),若存在x1、x2∈[0,1],使得f(x1)=g(x2)成立,则实数a的取值范围是   

查看答案和解析>>

科目:高中数学 来源:2012-2013学年黑龙江省哈尔滨九中高三(上)第二次月考数学试卷(理科)(解析版) 题型:填空题

已知函数,函数-2a+2(a>0),若存在x1、x2∈[0,1],使得f(x1)=g(x2)成立,则实数a的取值范围是   

查看答案和解析>>

科目:高中数学 来源:2012-2013学年黑龙江省哈尔滨九中高三(上)第二次月考数学试卷(文科)(解析版) 题型:填空题

已知函数,函数-2a+2(a>0),若存在x1、x2∈[0,1],使得f(x1)=g(x2)成立,则实数a的取值范围是   

查看答案和解析>>

科目:高中数学 来源:2012年全国高考数学领航试卷4(理科)(解析版) 题型:选择题

已知函数,函数-2a+2(a>0),若存在x1、x2∈[0,1],使得f(x1)=g(x2)成立,则实数a的取值范围是( )
A.
B.
C.
D.

查看答案和解析>>

同步练习册答案