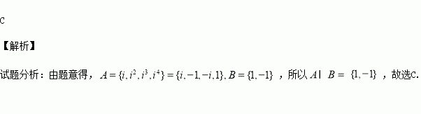
精英家教网 > 高中数学 > 题目详情

若集合是虚数单位),,则( )

A. B. C. D.

练习册系列答案
相关习题

科目:高中数学 来源:2017届湖北武汉市高三上学期起点考试数学(文)试卷(解析版) 题型:选择题

设集合为自然数集,则中元素的个数为( )

A.3 B.4 C.5 D.6

查看答案和解析>>

科目:高中数学 来源:2017届江西南昌市高三上学期摸底调研数学(理)试卷(解析版) 题型:选择题

若定义域为的函数上为减函数,且函数为偶函数,则( )

A. B.

C. D.

查看答案和解析>>

科目:高中数学 来源:2017届广西陆川县中学高三8月月考数学(文)试卷(解析版) 题型:填空题

已知向量满足,且,则的夹角为 .

查看答案和解析>>

科目:高中数学 来源:2017届广西陆川县中学高三8月月考数学(文)试卷(解析版) 题型:选择题

已知正方形的边长为1,,则( )

A.2 B.3 C. D.8

查看答案和解析>>

科目:高中数学 来源:2017届广西陆川县中学高三8月月考数学(理)试卷(解析版) 题型:填空题

设函数,则使得成立的的取值范围为 .

查看答案和解析>>

科目:高中数学 来源:2017届广西陆川县中学高三8月月考数学(理)试卷(解析版) 题型:选择题

已知函数是定义在上的奇函数,它的图象关于直线对称,且,则当时,的解析式是( )

A. B. C. D.

查看答案和解析>>

科目:高中数学 来源:2017届广东海珠区高三上学期调研测试一数学理试卷(解析版) 题型:填空题

如图所示是一个几何体的三视图,则这个几何体外接球的表面积为 .

查看答案和解析>>

科目:高中数学 来源:2017届广东海珠区高三上学期调研测试一数学文试卷(解析版) 题型:解答题

已知点为抛物线的焦点,点在抛物线上,且到原点的距离为.

(1)求抛物线的方程;

(2)已知点,延长交抛物线于点,证明:以点为圆心且与直线相切的圆,必与直线相切.

查看答案和解析>>

同步练习册答案