精英家教网 > 高中数学 > 题目详情
公差不为零的等差数列{an}中,a2,a3,a6成等比数列,则其公比q为( )
A.1
B.2
C.3
D.4
【答案】分析:根据等差数列中a2,a3,a6成等比数列,用等差数列的首项和公差表示出这三项,根据这三项成等比数列,用等比中项写出这三项之间的关系,化简整理得到等差数列的首项和公差的关系,求等比数列的公比只要求a3与a2的比值即可.
解答:解:∵等差数列{an}中a2,a3,a6成等比数列,
∴a2•a6=a32,即(a1+d)(a1+5d)=(a1+2d)2
∴d(d+2a1)=0
∵公差不为零,
∴d+2a1=0
∴d=-2a1
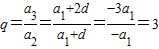
∴所求公比
故选C.
点评:本题是一个等差数列和等比数列综合题,解题时主要应用数列的基本量,这种问题可以出现在解答题中,也可以以选择和填空形式出现.
练习册系列答案
相关习题

科目:高中数学 来源: 题型:

公差不为零的等差数列的第1项、第6项、第21项恰好构成等比数列,则它的公比为(  )

查看答案和解析>>

科目:高中数学 来源: 题型:

(2012•北京模拟)如果公差不为零的等差数列的第二、第三、第六项构成等比数列,那么其公比为(  )

查看答案和解析>>

科目:高中数学 来源: 题型:

已知{an}是公差不为零的等差数列,a1=1,且a1,a3,a9成等比数列.
(Ⅰ)求数列{an}的通项;
(Ⅱ)令bn=
1
(an+1)2-1
(n∈N*)
,数列{bn}的前n项和Tn,证明:Tn
3
4

查看答案和解析>>

科目:高中数学 来源: 题型:

已知数列{an}是公差不为零的等差数列,数列{bn}为等比数列,若b1=a1,b2=a5,b3=a17,则b4等于数列{an}中的第
53
53
项.

查看答案和解析>>

科目:高中数学 来源: 题型:

(2012•武昌区模拟)已知公差不为零的等差数列{an}的前n项和为Sn,点(n,Sn)都在二次函数y=f(x)的图象上(如图).已知函数y=f(x)的图象的对称轴方程是x=
3
2
.若点(n,an)在函数y=g(x)的图象上,则函数y=g(x)的图象可能是(  )

查看答案和解析>>

同步练习册答案