精英家教网 > 高中数学 > 题目详情

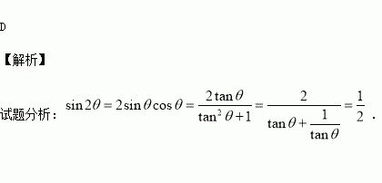
,则等于( )

A. B. C. D.

练习册系列答案
相关习题

科目:高中数学 来源:2015-2016学年广西河池市高一下月考一数学试卷(解析版) 题型:选择题

为直线,是两个不同的平面,下列命题中正确的是( )

A.若,则

B.若,则

C.

D.,则

查看答案和解析>>

科目:高中数学 来源:2017届河南省天一大联考高三上学期段测一数学(理)试卷(解析版) 题型:填空题

半径为的球的体积与一个长、宽分别为6、4的长方体的体积相等,则长方体的表面积为_______.

查看答案和解析>>

科目:高中数学 来源:2017届河北武邑中学高三上学期周考8.21数学(文)试卷(解析版) 题型:填空题

为锐角,若,则的值为__________.

查看答案和解析>>

科目:高中数学 来源:2017届河北武邑中学高三上学期周考8.21数学(文)试卷(解析版) 题型:选择题

,则等于( )

A. B. C. D.

查看答案和解析>>

科目:高中数学 来源:2017届河北武邑中学高三上学期周考8.21数学(理)试卷(解析版) 题型:解答题

已知,求

查看答案和解析>>

科目:高中数学 来源:2017届河北武邑中学高三上学期周考8.21数学(理)试卷(解析版) 题型:选择题

,则( )

A. B. C. D.

查看答案和解析>>

科目:高中数学 来源:2017届河北定州中学高三上学期周练一数学试卷(解析版) 题型:填空题

在极坐标系中,点为曲线的对称中心,则三角形面积

等于________.

查看答案和解析>>

科目:高中数学 来源:2017届天津耀华中学高三上学期开学考试数学(文)试卷(解析版) 题型:解答题

已知过抛物线)的焦点,斜率为的直线交抛物线于)两点,且

(1)求该抛物线的方程;

(2)为坐标原点,为抛物线上一点,若,求的值.

查看答案和解析>>

同步练习册答案