精英家教网 > 高中数学 > 题目详情
已知一动圆M,恒过点F(1,0),且总与直线l:x=﹣1相切.
(1)求动圆圆心M的轨迹C的方程;
(2)探究在曲线C上,是否存在异于原点的A(x1,y1),B(x2,y2)两点,当y1y2=﹣16时,直线AB恒过定点?若存在,求出定点坐标;若不存在,说明理由.
解:(1)因为动圆M,过点F(1,0)且与直线l:x=﹣1相切,
所以圆心M到F的距离等于到直线l的距离.
所以,点M的轨迹是以F为焦点,l为准线的抛物线,且,p=2,
所以所求的轨迹方程为y2=4x
(2)假设存在A,B在y2=4x上,
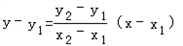
所以,直线AB的方程:

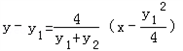
即AB的方程为:
即(y1+y2)y﹣y12﹣y1y2=4x﹣y12
即:(y1+y2)y+(16﹣4x)=0,
令y=0,得x=4,所以,无论y1,y2为何值,直线AB过定点(4,0)
练习册系列答案
相关习题

科目:高中数学 来源: 题型:

已知一动圆M,恒过点F(1,0),且总与直线l:x=-1相切.
(1)求动圆圆心M的轨迹C的方程;
(2)探究在曲线C上,是否存在异于原点的A(x1,y1),B(x2,y2)两点,当y1y2=-16时,直线AB恒过定点?若存在,求出定点坐标;若不存在,说明理由.

查看答案和解析>>

科目:高中数学 来源:2010-2011学年黑龙江省鹤岗一中高二(上)期中数学试卷(理科)(解析版) 题型:解答题

已知一动圆M,恒过点F(1,0),且总与直线l:x=-1相切.
(1)求动圆圆心M的轨迹C的方程;
(2)探究在曲线C上,是否存在异于原点的A(x1,y1),B(x2,y2)两点,当y1y2=-16时,直线AB恒过定点?若存在,求出定点坐标;若不存在,说明理由.

查看答案和解析>>

科目:高中数学 来源:2010-2011学年北京91中高三(上)数学单元测试:解析几何(解析版) 题型:解答题

已知一动圆M,恒过点F(1,0),且总与直线l:x=-1相切.
(1)求动圆圆心M的轨迹C的方程;
(2)探究在曲线C上,是否存在异于原点的A(x1,y1),B(x2,y2)两点,当y1y2=-16时,直线AB恒过定点?若存在,求出定点坐标;若不存在,说明理由.

查看答案和解析>>

科目:高中数学 来源:2010-2011学年陕西省宝鸡市金台区斗鸡中学高考数学模拟试卷(文科)(解析版) 题型:解答题

已知一动圆M,恒过点F(1,0),且总与直线l:x=-1相切.
(1)求动圆圆心M的轨迹C的方程;
(2)探究在曲线C上,是否存在异于原点的A(x1,y1),B(x2,y2)两点,当y1y2=-16时,直线AB恒过定点?若存在,求出定点坐标;若不存在,说明理由.

查看答案和解析>>

科目:高中数学 来源:2011年辽宁省名校高三数学单元测试:解析几何(解析版) 题型:解答题

已知一动圆M,恒过点F(1,0),且总与直线l:x=-1相切.
(1)求动圆圆心M的轨迹C的方程;
(2)探究在曲线C上,是否存在异于原点的A(x1,y1),B(x2,y2)两点,当y1y2=-16时,直线AB恒过定点?若存在,求出定点坐标;若不存在,说明理由.

查看答案和解析>>

同步练习册答案