精英家教网 > 高中数学 > 题目详情
已知数列an的前n项和为Sn,且a1=1,Sn=n2an(n∈N),
(1)试计算S1,S2,S3,S4,并猜想Sn的表达式;
(2)证明你的猜想,并求出an的表达式.
【答案】分析:(1)先根据数列的前n项的和求得S1,S2,S3,S4,可知分母和分子分别是等差数列进而可猜想出Sn
(2)利用an=Sn-Sn-1,整理出an的递推式,进而用叠乘法求得an
解答:解:(1)由a1=1,Sn=n2an(n∈N)得
猜想
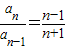
(2)证明:∵Sn=n2an①∴Sn-1=(n-1)2an-1
①-②得Sn-Sn-1=n2an-(n-1)2an-1
∴an=n2an-(n-1)2an-1
化简得
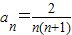
把上面各式相乘得

点评:本题主要考查了数列的递推式.数列的递推式是高考中常考的题型,涉及数列的通项公式,求和问题,数列与不等式的综合等问题.
练习册系列答案
相关习题

科目:高中数学 来源: 题型:

已知数列an的前n项和为Sn,且a1=1,Sn=n2an(n∈N),
(1)试计算S1,S2,S3,S4,并猜想Sn的表达式;
(2)证明你的猜想,并求出an的表达式.

查看答案和解析>>

科目:高中数学 来源: 题型:

已知数列an的前n项和Sn=
32
(an-1)
,n∈N+
(1)求an的通项公式;
(2)设n∈N+,集合An={y|y=ai,i≤n,i∈N+},B={y|y=4m+1,m∈N+}.现在集合An中随机取一个元素y,记y∈B的概率为p(n),求p(n)的表达式.

查看答案和解析>>

科目:高中数学 来源: 题型:

已知数列
an
的前n项和为Sn,且Sn=1-an (n∈N*
(I )求数列
an
的通项公式;
(Ⅱ)已知数列
bn
的通项公式bn=2n-1,记cn=anbn,求数列
cn
的前n项和Tn

查看答案和解析>>

科目:高中数学 来源: 题型:

已知数列an}的前n项和为sn,满足(p-1)sn=p2-an,其中p为正常数,且p≠1.
(1)求证:数列{an}为等比数列,并求出{an}的通项公式;
(2)若存在正整数M,使得当n≥M时,a1a4a7…a3n-2>a36恒成立,求出M的最小值;
(3)当p=2时,数列an,2xan+1,2yan+2成等差数列,其中x,y均为整数,求出x,y的值.

查看答案和解析>>

科目:高中数学 来源: 题型:

已知数列an的前n项和为Sn
(Ⅰ)若数列an是等比数列,满足2a1+a3=3a2,a3+2是a2,a4的等差中项,求数列an的通项公式;
(Ⅱ)是否存在等差数列ann∈N*,使对任意n∈N*都有anSn=2n2(n+1)?若存在,请求出所有满足条件的等差数列;若不存在,请说明理由.

查看答案和解析>>

同步练习册答案