精英家教网 > 高中数学 > 题目详情
如图,平面PAC⊥平面ABC,△ABC是以AC为斜边的等腰直角三角形,E,F,O分别为PA,PB,AC的中点,AC=16,PA=PC=10。
(1)设G是OC的中点,证明:FG∥平面BOE;
(2)证明:在△ABO内存在一点M,使FM⊥平面BOE,并求点M到OA,OB的距离。
解:(1)如图,连结OP,以点O为坐标原点,分别以OB,OC,OP所在直线为x轴,y轴,z轴,建立空间直角坐标系Oxyz,
则O(0,0,0),A(0,-8,0),B(8,0,0),C(0,8,0),P(0,0,6),E(0,-4,3),F(4,0,3)
由题意,得G(0,4,0)
因为
所以平面BOF的法向量n=(0,3,4)


又直线FG不在平面BOE内,
所以FG∥平面BOE;
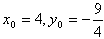
(2)设点M的坐标为(x0,y0,0)

因为FM⊥平面BOE,
所以
因此
即点M的坐标是
在平面直角坐标系xOy中,△AOB的内部区域可表示为不等式组
经检验,点M的坐标满足上述不等式组,所以在△AOB内存在一点M,使FM⊥平面BOE
由点M的坐标,得点M到OA,OB的距离分别为4,
练习册系列答案
相关习题

科目:高中数学 来源:2010年江苏省高二下学期期中考试数学(理) 题型:解答题

(16分)如图,四棱锥S-ABCD 的底面是正方形,每条侧棱的长都是地面边长的倍,

P为侧棱SD上的点。

(Ⅰ)求证:ACSD;       

(Ⅱ)若SD平面PAC,求二面角P-AC-D的大小

(Ⅲ)在(Ⅱ)的条件下,侧棱SC上是否存在一点E, 使得BE∥平

面PAC。若存在,求SE:EC的值;若不存在,试说明理由。

 

 

查看答案和解析>>

科目:高中数学 来源:江苏省启东中学09-10学年高二下学期期中考试(理) 题型:解答题

 如图,四棱锥S-ABCD 的底面是正方形,每条侧棱的长都是地面边长的倍,

P为侧棱SD上的点。(Ⅰ)求证:ACSD;       

(Ⅱ)若SD平面PAC,求二面角P-AC-D的大小

(Ⅲ)在(Ⅱ)的条件下,侧棱SC上是否存在一点E,        使得BE∥平

面PAC。若存在,求SE:EC的值;若不存在,试说明理由。

 

                                    

 

 

 

 

 

 

 

查看答案和解析>>

同步练习册答案