精英家教网 > 高中数学 > 题目详情

已知二次函数的导数,且的值域为,则的最小值为(    )

A.3           B.            C.2          D.

 

【答案】

C

【解析】

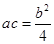
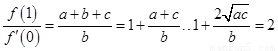
试题分析:由已知,因为,所以,又的值域为,所以,并且,即,则,当且仅当时,等号成立.故正确答案为C.

考点:1.二次函数;2.导数;3.基本不等式.

 

练习册系列答案
相关习题

科目:高中数学 来源: 题型:

已知二次函数的导数为,对于任意实数,有,则的最小值为(   )

A.                 B.                 C.                   D.

查看答案和解析>>

科目:高中数学 来源:2013-2014学年山西省高三上学期期中考试理科数学试卷(解析版) 题型:选择题

已知二次函数的导数,且的值域为,则的最小值为(      )

A.3              B.             C.2             D.

 

查看答案和解析>>

科目:高中数学 来源:2014届浙江省高二下学期第二次月考文科数学试卷(解析版) 题型:选择题

已知二次函数的导数为,对于任意实数都有,则的最小值为  (       )

A.              B.               C.               D.

 

查看答案和解析>>

科目:高中数学 来源:2010-2011年山西省高二3月月考考试数学理卷 题型:选择题

已知二次函数的导数为,对于任意实数,有,则的最小值为(   )

A.               B.              C.               D.

 

查看答案和解析>>

科目:高中数学 来源:2012届云南省高二下学期期中考试理科数学试题 题型:选择题

已知二次函数的导数为,对于任意实数,有,则的最小值为(     )

A.                B.            C.               D.

 

查看答案和解析>>

同步练习册答案