精英家教网 > 高中数学 > 题目详情

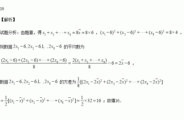
数据平均数为6,方差为4,则数据的方差为__________.

练习册系列答案
相关习题

科目:高中数学 来源:2015-2016学年福建省高二下期中文科数学试卷(解析版) 题型:填空题

在平面直角坐标系中,半径为以点为圆心的圆的标准方程为;则类似的,在空间直角坐标系中,半径为为球心的球的标准方程为 .

查看答案和解析>>

科目:高中数学 来源:2016届山西省等四校高三下第四次联考理科数学试卷(解析版) 题型:解答题

设函数

(1)求的单调区间;

(2)若为整数,且当时,恒成立,其中的导函数,求的最大值.

查看答案和解析>>

科目:高中数学 来源:2016届山西省等四校高三下第四次联考理科数学试卷(解析版) 题型:选择题

下列命题的说法错误的是( )

A.对于命题, 则

B.的充分不必要条件

C.若命题为假命题,则都是假命题

D.命题“若,则”的逆否命题为:“若,则

查看答案和解析>>

科目:高中数学 来源:2015-2016学年宁夏高一下第二次月考数学试卷(解析版) 题型:解答题

如图,在平面直角坐标系中,锐角的终边分别与单位圆交于两点.

(1)如果点的纵坐标为,点的横坐标为,求

(2)已知点,求

查看答案和解析>>

科目:高中数学 来源:2015-2016学年宁夏高一下第二次月考数学试卷(解析版) 题型:选择题

若向量为两个非零向量,且,则向量的夹角为( )

A. B. C. D.

查看答案和解析>>

科目:高中数学 来源:2015-2016学年宁夏高一下第二次月考数学试卷(解析版) 题型:选择题

用“辗转相除法法”求得459和357的最大公约数是( )

A.3 B.9 C.17 D.51

查看答案和解析>>

科目:高中数学 来源:2015-2016学年四川省高二下期中文科数学试卷(解析版) 题型:选择题

短轴长等于8,离心率等于的椭圆的标准方程为( )

A. B.

C. D.

查看答案和解析>>

科目:高中数学 来源:2015-2016学年西藏日喀则一中高二4月月考文科数学试卷(解析版) 题型:选择题

已知点在曲线上,为曲线在点处的切线的倾斜角,则的取值范围是( )

A. B. C. D.

查看答案和解析>>

同步练习册答案