精英家教网 > 高中数学 > 题目详情
已知α为锐角,且,函数,数列{an}的首项
(1)求函数f(x)的表达式;
(2)求证:an+1>an
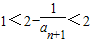
(3)求证:
【答案】分析:(1)根据二倍角的正切函数公式,由tanα的值求出tan2α的值,根据特殊角的三角函数值以及α的范围即可求出2α的值,即可求出sin(2α+)的值,把求出的tan2α和sin2α的值代入f(x)中即可确定出f(x);
(2)an+1=f(an),把an代入(1)中求出的f(x)的解析式,移项后,根据an2大于0,即可得证;
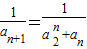
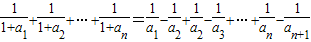
(3)把an代入(1)中求出的f(x)的解析式中化简后,求出,然后把等号右边的式子利用拆项相减的方法,得到,移项后得到,然后从n=1列举到n,抵消后得到所要证明的式子等于2-,根据题意分别求出a2和a3的值,根据(2)所证明的结论即可得证.
解答:解:(1)
又∵α为锐角,所以2α=

则f(x)=x2+x;
(2)∵an+1=f(an)=an2+an
∴an+1-an=an2>0,
∴an+1>an
(3)∵,且a1=


=

又n≥2时,∴an+1>an
∴an+1≥a3>1,


点评:此题考查学生灵活运用二倍角的正切函数公式化简求值,会利用不等式比较大小以及会进行不等式的证明,是一道综合题.
练习册系列答案
相关习题

科目:高中数学 来源: 题型:

已知为锐角,且

函数,数列{an}的首项.

    ⑴ 求函数的表达式;

⑵ 求证:;  

⑶ 求证: 

查看答案和解析>>

科目:高中数学 来源:2011届福建省莆田十中高三5月月考调理科数学 题型:解答题

(本小题满分13分)
已知为锐角,且,函数,数列{}的首项.
(1) 求函数的表达式;
(2)在中,若A=2,,BC=2,求的面积
(3) 求数列的前项和

查看答案和解析>>

科目:高中数学 来源:2010-2011学年湖北省部分重点中学联考高一(下)期中数学试卷(解析版) 题型:解答题

已知α为锐角,且,函数,数列{an}的首项
(1)求函数f(x)的表达式;
(2)求证:an+1>an
(3)求证:

查看答案和解析>>

科目:高中数学 来源:2010年福建省泉州五中高考数学模拟试卷(解析版) 题型:解答题

已知α为锐角,且,函数,数列{an}的首项a1=1,an+1=f(an).
(1)求函数f(x)的表达式;
(2)求证:数列{an+1}为等比数列;
(3)求数列{an}的前n项和Sn

查看答案和解析>>

科目:高中数学 来源:2010-2011学年福建省高三5月月考调理科数学 题型:解答题

(本小题满分13分)

已知为锐角,且,函数,数列{}的首项.

(1) 求函数的表达式;

(2)在中,若A=2,,BC=2,求的面积

(3) 求数列的前项和

 

 

查看答案和解析>>

同步练习册答案