精英家教网 > 高中数学 > 题目详情

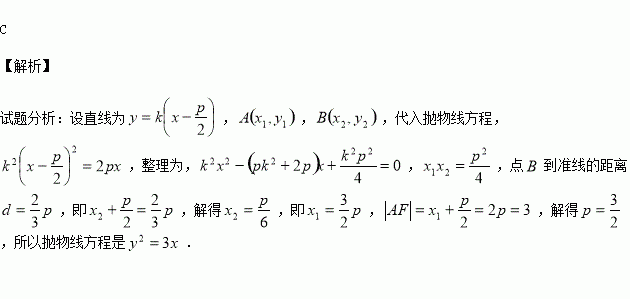
如图,过抛物线的焦点F的直线交抛物线于点A,B,交其准线l于点C,若|BC|=2|BF|,且|AF|=3,则此抛物线的方程为( ).

A. B. C. D.

练习册系列答案
相关习题

科目:高中数学 来源:2016届甘肃省高三上第四次月考理科数学试卷(解析版) 题型:选择题

将函数的图象向右平移个单位,再向上平移1个单位,所得函数图象对应的解析式为( )

A.

B.

C.

D.

查看答案和解析>>

科目:高中数学 来源:2015-2016学年辽宁省高二上期中理科数学试卷(解析版) 题型:填空题

已知命题不等式的解集为”命题是减函数.”若“

”为真命题,同时”为假命题,则实数的取值范围是_______.

查看答案和解析>>

科目:高中数学 来源:2015-2016学年江西省高一创新上期中数学卷(解析版) 题型:填空题

已知函数,则

查看答案和解析>>

科目:高中数学 来源:2015-2016学年江西高安中学高二重点上期中文数学卷(解析版) 题型:选择题

“0<a<4”是“命题‘x∈R,不等式x2+ax+a≥0成立’为真命题”的 ( )

A、充分不必要条件

B、必要不充分条件

C、充要条件

D、既不充分也不必要条件

查看答案和解析>>

科目:高中数学 来源:2015-2016学年江西省高二上期中文科数学试卷(解析版) 题型:填空题

若命题“存在,使得成立”为假命题,则实数的取值范围是

查看答案和解析>>

科目:高中数学 来源:2015-2016学年湖南师大附中高二上第二次段测文科数学卷(解析版) 题型:选择题

已知函数的图象恒过定点A,若点A在一次函数y=mx+n的图象上,其中m,n>0,则的最小值为( )

A.1 B. C.2 D.4

查看答案和解析>>

科目:高中数学 来源:2015-2016学年河北省高二上期中理科数学试卷(解析版) 题型:选择题

用反证法证明命题:“三角形的内角中至少有一个不大于60度”时,假设正确的是( )

A.假设三内角都不大于60度

B.假设三内角都大于60度

C.假设三内角至多有一个大于60度

D.假设三内角至多有两个大于60度

查看答案和解析>>

科目:高中数学 来源:2014-2015学年江西省高一下学期期中数学试卷(解析版) 题型:解答题

中,角所对的边分别是,若,且

(1)求的值;

(2)若,求的面积.

查看答案和解析>>

同步练习册答案