ÈçͼËùʾ£¬Ò»ÖÊÁ¿m£½0.10kg¡¢µç×èR£½0.10¦¸µÄ¾ØÐνðÊô¿òabcdÓɾ²Ö¹¿ªÊ¼ÊÍ·Å£¬ÊúÖ±ÏòϽøÈëÔÈÇ¿´Å³¡¡£ÒÑÖª´Å³¡·½Ïò´¹Ö±Ö½ÃæÏòÄÚ£¬´Å¸ÐӦǿ¶ÈB£½0.50T£¬½ðÊô¿ò¿íL£½0.20m£¬¿ªÊ¼ÊÍ·Åʱab±ßÓë´Å³¡µÄÉϱ߽çÖØºÏ¡£¾­¹ýʱ¼ät1£¬½ðÊô¿òϽµÁËh1£½0.50m£¬½ðÊô¿òÖвúÉúÁËQ1£½0.45JµÄÈÈÁ¿£¬È¡g£½10m/s2¡£
£¨1£©Çó¾­¹ýʱ¼ät1ʱ½ðÊô¿òËÙ¶Èv1µÄ´óСÒÔ¼°¸ÐÓ¦µçÁ÷µÄ´óСºÍ·½Ïò£»
£¨2£©¾­¹ýʱ¼ät1ºó£¬ÔÚ½ðÊô¿òÉÏÊ©¼ÓÒ»¸öÊúÖ±·½ÏòµÄÀ­Á¦£¬Ê¹Ëü×÷ÔȱäËÙÖ±ÏßÔ˶¯£¬ÔÙ¾­¹ýʱ¼ät2£½0.1s£¬ÓÖÏòÏÂÔ˶¯ÁËh2£½0.12m£¬Çó½ðÊô¿ò¼ÓËٶȵĴóСÒÔ¼°´ËʱÀ­Á¦µÄ´óСºÍ·½Ïò£¨´Ë¹ý³ÌÖÐcd±ßʼÖÕÔڴų¡Í⣩¡£
£¨3£©t2ʱ¼äºó¸ÃÁ¦±äΪºã¶¨À­Á¦£¬ÓÖ¾­¹ýʱ¼ät3½ðÊô¿òËٶȼõСµ½Áãºó²»ÔÙÔ˶¯¡£Çó¸ÃÀ­Á¦µÄ´óСÒÔ¼°t3ʱ¼äÄÚ½ðÊô¿òÖвúÉúµÄ½¹¶úÈÈ£¨´Ë¹ý³ÌÖÐcd±ßʼÖÕÔڴų¡Í⣩¡£
£¨4£©ÔÚËù¸ø×ø±êÖж¨ÐÔ»­³ö½ðÊô¿òËùÊܰ²ÅàÁ¦FËæÊ±¼ät±ä»¯µÄ¹ØÏµÍ¼Ïß¡£
   
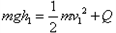
½â£º£¨1£©Óɹ¦ÄܹØÏµ
µÃ
£¬ÄæÊ±Õë·½Ïò
£¨2£©

t2=0.1sʱ£¬½ðÊô¿òµÄËÙ¶Èv2=v1+at2=£¨1+4.0¡Á0.1£©m/s£½1.4m/s
´Ëʱ½ðÊô¿òµÄµçÁ÷
ÓÉÅ£¶ÙµÚ¶þ¶¨ÂÉF2+mg-BIL=ma  
F2=ma+BIL-mg=-0.46N£¬·½ÏòÏòÉÏ
£¨3£©½ðÊô¿ò×ö¼ÓËÙ¶ÈÔ˶¯×îºó¾²Ö¹£¬Ëù¼Óºã¶¨µÄÍâÁ¦µÈÓÚÖØÁ¦F=mg=1N
½ðÊô¿òÖ»ÔÚ°²ÅàÁ¦×÷ÓÃÏÂ×ö¼õËÙÔ˶¯£¬¶¯ÄÜÈ«²¿×ª»¯Îª½¹¶úÈÈ

£¨4£©
Á·Ï°²áϵÁдð°¸
Ïà¹ØÏ°Ìâ

¿ÆÄ¿£º¸ßÖÐÎïÀí À´Ô´£º ÌâÐÍ£º

£¨8·Ö£©ÈçͼËùʾ£¬Ò»ÖÊÁ¿M£½4.0kg¡¢³¤¶ÈL=2.0mµÄ³¤·½ÐÎľ°åB¾²Ö¹Ôڹ⻬µÄˮƽµØÃæÉÏ£¬ÔÚÆäÓÒ¶Ë·ÅÒ»ÖÊÁ¿m£½1.0kgµÄС»¬¿éA£¨¿ÉÊÓΪÖʵ㣩¡£ÏÖ¶ÔA¡¢BͬʱʩÒÔÊʵ±µÄ˲ʱ³åÁ¿£¬Ê¹AÏò×óÔ˶¯£¬BÏòÓÒÔ˶¯£¬¶þÕߵijõËÙ¶È´óС¾ùΪ2.0m/s£¬×îºóA²¢Ã»Óл¬ÀëB°å¡£ÒÑÖªA¡¢BÖ®¼äµÄ¶¯Ä¦²ÁÒòÊý¦Ì=0.50£¬È¡ÖØÁ¦¼ÓËÙ¶Èg =10m/s2¡£Çó£º

   

£¨1£©¾­Àú¶à³¤Ê±¼äAÏà¶ÔµØÃæËٶȼõΪÁ㣻

£¨2£©Õ¾ÔÚµØÃæÉϹ۲죬B°å´Ó¿ªÊ¼Ô˶¯£¬µ½AÏà¶ÔµØÃæËٶȼõΪÁãµÄ¹ý³ÌÖУ¬B°åÏòÓÒÔ˶¯µÄ¾àÀ룻

£¨3£©AºÍBÏà¶ÔÔ˶¯¹ý³ÌÖУ¬Ð¡»¬¿éAÓë°åB×ó¶ËµÄ×îС¾àÀë¡£

²é¿´´ð°¸ºÍ½âÎö>>

¿ÆÄ¿£º¸ßÖÐÎïÀí À´Ô´£º ÌâÐÍ£º

ÈçͼËùʾ£¬Ò»ÖÊÁ¿m£½0.10kg¡¢µç×èR£½0.10¦¸µÄ¾ØÐνðÊô¿òabcdÓɾ²Ö¹¿ªÊ¼ÊÍ·Å£¬ÊúÖ±ÏòϽøÈëÔÈÇ¿´Å³¡¡£ÒÑÖª´Å³¡·½Ïò´¹Ö±Ö½ÃæÏòÄÚ£¬´Å¸ÐӦǿ¶ÈB£½0.50T£¬½ðÊô¿ò¿íL£½0.20m£¬¿ªÊ¼ÊÍ·Åʱab±ßÓë´Å³¡µÄÉϱ߽çÖØºÏ¡£¾­¹ýʱ¼ät1£¬½ðÊô¿òϽµÁËh1£½0.50m£¬½ðÊô¿òÖвúÉúÁËQ1£½0.45JµÄÈÈÁ¿£¬È¡g£½10m/s2¡£

£¨1£©Çó¾­¹ýʱ¼ät1ʱ½ðÊô¿òËÙ¶Èv1µÄ´óСÒÔ¼°¸ÐÓ¦µçÁ÷µÄ´óСºÍ·½Ïò£»

£¨2£©¾­¹ýʱ¼ät1ºó£¬ÔÚ½ðÊô¿òÉÏÊ©¼ÓÒ»¸öÊúÖ±·½ÏòµÄÀ­Á¦£¬Ê¹Ëü×÷ÔȱäËÙÖ±ÏßÔ˶¯£¬ÔÙ¾­¹ýʱ¼ät2£½0.1s£¬ÓÖÏòÏÂÔ˶¯ÁËh2£½0.12m£¬Çó½ðÊô¿ò¼ÓËٶȵĴóСÒÔ¼°´ËʱÀ­Á¦µÄ´óСºÍ·½Ïò£¨´Ë¹ý³ÌÖÐcd±ßʼÖÕÔڴų¡Í⣩¡£

£¨3£©t2ʱ¼äºó¸ÃÁ¦±äΪºã¶¨À­Á¦£¬ÓÖ¾­¹ýʱ¼ät3½ðÊô¿òËٶȼõСµ½Áãºó²»ÔÙÔ˶¯¡£Çó¸ÃÀ­Á¦µÄ´óСÒÔ¼°t3ʱ¼äÄÚ½ðÊô¿òÖвúÉúµÄ½¹¶úÈÈ£¨´Ë¹ý³ÌÖÐcd±ßʼÖÕÔڴų¡Í⣩¡£

£¨4£©ÔÚËù¸ø×ø±êÖж¨ÐÔ»­³ö½ðÊô¿òËùÊܰ²ÅàÁ¦FËæÊ±¼ät±ä»¯µÄ¹ØÏµÍ¼Ïß¡£

 

 

²é¿´´ð°¸ºÍ½âÎö>>

¿ÆÄ¿£º¸ßÖÐÎïÀí À´Ô´£º2013½ì¸ÊËàÊ¡¸Ê¹ÈÒ»ÖиßÈýµÚËĴμì²âÎïÀíÊÔ¾í£¨´ø½âÎö£© ÌâÐÍ£º¼ÆËãÌâ

£¨12·Ö£©ÈçͼËùʾ£¬Ò»ÖÊÁ¿m£½2 kgµÄÎï¿é´Óˮƽ×ÀÃæÉϵÄAµãÒÔ³õËÙ¶Èv0£½4 m/sÏò×ó»¬ÐУ¬Îï¿éÓë×ÀÃæ¼äµÄ¶¯Ä¦²ÁÒòÊý¦Ì£½0.5£¬Aµã¾àµ¯»ÉÓÒ¶ËλÖÃBµÄ¾àÀëxAB£½0.2 m£¬Îï¿é¾­Bµãºó½«µ¯»ÉѹËõµ½×î¶Ìʱµ½´ïCµã£¬×î´óѹËõÁ¿xBC£½0.1 m£®ËæºóÎï¿é±»µ¯»Éµ¯³ö£¬´Ó×À±ßDµãÀ뿪×ÀÃæ£®xAD£½0.1 m£¬×ÀÃæ¾àµØÃæ¸ßh="0.8" m£®(µ¯»ÉÖÊÁ¿²»¼Æ£¬g=10m/s2)

(1)Ç󵯻ɱ»Ñ¹ËõʱµÄ×î´óµ¯ÐÔÊÆÄÜ£»
(2)ÇóÎï¿é´Ó×À±ß¸Õ»¬³öʱµÄËÙ¶È´óС£»
(3)ÇóÎï¿éÂ䵨µãµ½×À±ßDµÄˮƽ¾àÀ룮

²é¿´´ð°¸ºÍ½âÎö>>

¿ÆÄ¿£º¸ßÖÐÎïÀí À´Ô´£º2012-2013ѧÄê¸ÊËàÊ¡¸ßÈýµÚËĴμì²âÎïÀíÊÔ¾í£¨½âÎö°æ£© ÌâÐÍ£º¼ÆËãÌâ

£¨12·Ö£©ÈçͼËùʾ£¬Ò»ÖÊÁ¿m£½2 kgµÄÎï¿é´Óˮƽ×ÀÃæÉϵÄAµãÒÔ³õËÙ¶Èv0£½4 m/sÏò×ó»¬ÐУ¬Îï¿éÓë×ÀÃæ¼äµÄ¶¯Ä¦²ÁÒòÊý¦Ì£½0.5£¬Aµã¾àµ¯»ÉÓÒ¶ËλÖÃBµÄ¾àÀëxAB£½0.2 m£¬Îï¿é¾­Bµãºó½«µ¯»ÉѹËõµ½×î¶Ìʱµ½´ïCµã£¬×î´óѹËõÁ¿xBC£½0.1 m£®ËæºóÎï¿é±»µ¯»Éµ¯³ö£¬´Ó×À±ßDµãÀ뿪×ÀÃæ£®xAD£½0.1 m£¬×ÀÃæ¾àµØÃæ¸ßh=0.8 m£®(µ¯»ÉÖÊÁ¿²»¼Æ£¬g=10m/s2)

(1)Ç󵯻ɱ»Ñ¹ËõʱµÄ×î´óµ¯ÐÔÊÆÄÜ£»

(2)ÇóÎï¿é´Ó×À±ß¸Õ»¬³öʱµÄËÙ¶È´óС£»

(3)ÇóÎï¿éÂ䵨µãµ½×À±ßDµÄˮƽ¾àÀ룮

 

²é¿´´ð°¸ºÍ½âÎö>>

¿ÆÄ¿£º¸ßÖÐÎïÀí À´Ô´£º2011-2012ѧÄêÉϺ£ÊÐÆÖ¶«ÐÂÇø¸ßÈýµÚ¶þѧÆÚ4ÔÂÖÊÁ¿³é²âÎïÀíÊÔ¾í£¨½âÎö°æ£© ÌâÐÍ£º¼ÆËãÌâ

ÈçͼËùʾ£¬Ò»ÖÊÁ¿m£½0.10kg¡¢µç×èR£½0.10¦¸µÄ¾ØÐνðÊô¿òabcdÓɾ²Ö¹¿ªÊ¼ÊÍ·Å£¬ÊúÖ±ÏòϽøÈëÔÈÇ¿´Å³¡¡£ÒÑÖª´Å³¡·½Ïò´¹Ö±Ö½ÃæÏòÄÚ£¬´Å¸ÐӦǿ¶ÈB£½0.50T£¬½ðÊô¿ò¿íL£½0.20m£¬¿ªÊ¼ÊÍ·Åʱab±ßÓë´Å³¡µÄÉϱ߽çÖØºÏ¡£¾­¹ýʱ¼ät1£¬½ðÊô¿òϽµÁËh1£½0.50m£¬½ðÊô¿òÖвúÉúÁËQ1£½0.45JµÄÈÈÁ¿£¬È¡g£½10m/s2¡£

£¨1£©Çó¾­¹ýʱ¼ät1ʱ½ðÊô¿òËÙ¶Èv1µÄ´óСÒÔ¼°¸ÐÓ¦µçÁ÷µÄ´óСºÍ·½Ïò£»

£¨2£©¾­¹ýʱ¼ät1ºó£¬ÔÚ½ðÊô¿òÉÏÊ©¼ÓÒ»¸öÊúÖ±·½ÏòµÄÀ­Á¦£¬Ê¹Ëü×÷ÔȱäËÙÖ±ÏßÔ˶¯£¬ÔÙ¾­¹ýʱ¼ät2£½0.1s£¬ÓÖÏòÏÂÔ˶¯ÁËh2£½0.12m£¬Çó½ðÊô¿ò¼ÓËٶȵĴóСÒÔ¼°´ËʱÀ­Á¦µÄ´óСºÍ·½Ïò£¨´Ë¹ý³ÌÖÐcd±ßʼÖÕÔڴų¡Í⣩¡£

£¨3£©t2ʱ¼äºó¸ÃÁ¦±äΪºã¶¨À­Á¦£¬ÓÖ¾­¹ýʱ¼ät3½ðÊô¿òËٶȼõСµ½Áãºó²»ÔÙÔ˶¯¡£Çó¸ÃÀ­Á¦µÄ´óСÒÔ¼°t3ʱ¼äÄÚ½ðÊô¿òÖвúÉúµÄ½¹¶úÈÈ£¨´Ë¹ý³ÌÖÐcd±ßʼÖÕÔڴų¡Í⣩¡£

£¨4£©ÔÚËù¸ø×ø±êÖж¨ÐÔ»­³ö½ðÊô¿òËùÊܰ²ÅàÁ¦FËæÊ±¼ät±ä»¯µÄ¹ØÏµÍ¼Ïß¡£

 

 

²é¿´´ð°¸ºÍ½âÎö>>

ͬ²½Á·Ï°²á´ð°¸