精英家教网 > 高中物理 > 题目详情
在可控核反应堆中需要给快中子减速,轻水、重水和石墨等常用作减速剂。中子在重水中可与核碰撞减速,在石墨中与核碰撞减速。上述碰撞可简化为弹性碰撞模型。某反应堆中快中子与静止的靶核发生对心正碰,通过计算说明,仅从一次碰撞考虑,用重水和石墨作减速剂,哪种减速效果更好?

解:设中子质量为Mn,靶核质量为M
由动量守恒定律:Mnv0=Mnv1+Mv2
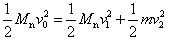
由能量守恒定律:
解得:
在重水中靶核质量:MH=2Mn
在石墨中靶核质量:Mc=12Mn
与重水靶核碰后中子速度较小,故重水减速效果更好

练习册系列答案
相关习题

科目:高中物理 来源: 题型:

物理选修3-5
(1)图示是用来监测在核电站工作的人员受到辐射情况的胸章,通过照相底片被射线感光的区域,可以判断工作人员受到何种辐射.当胸章上1mm铝片和3mm铝片下的照相底片被感光,而铅片下的照相底片未被感光时,则工作人员可能受到了辐射的射线是
A
A
 
A.α和β             B.α和γ              C.β和γ                        D.α、β和γ

(2)在可控核反应堆中需要给快中子减速,轻水、重水和石墨等常用作减速剂.中子在重水中可与
 
2
1
H
核碰撞减速,在石墨中与
 
12
6
C
核碰撞减速.上述碰撞可简化为弹性碰撞模型.某反应堆中快中子与静止的靶核发生对心正碰,通过计算说明,仅从一次碰撞考虑,用重水和石墨作减速剂,哪种减速效果更好?

查看答案和解析>>

科目:高中物理 来源: 题型:

人类认识原子结构和开发利用原子能经历了十分曲折的过程.请按要求回答下列问题.
(1)卢瑟福、玻尔、查德威克等科学家在原子结构或原子核的研究方面做出了卓越的贡献.
请选择其中的两位,指出他们的主要成绩.
 

 

(2)在可控核反应堆中需要给快中子减速,轻水、重水和石墨等常用作减速剂.中子在重水中可与
 
2
1
H
核碰撞减速,在石墨中与
 
12
6
C
核碰撞减速.上述碰撞可简化为弹性碰撞模型.某反应堆中快中子与静止的靶核发生对心正碰,通过计算说明,仅从一次碰撞考虑,用重水和石墨作减速剂,哪种减速效果更好?

查看答案和解析>>

科目:高中物理 来源: 题型:

精英家教网物理--物理3-5
人类认识原子结构和开发利用原子能经历了十分曲折的过程.请按要求回答下列问题.
(1)卢瑟福、玻尔、查德威克等科学家在原子结构或原子核的研究方面做出了卓越的贡献.请选择其中的两位,指出他们的主要成绩.①
 
_;②
 

在贝克勒尔发现天然放射现象后,人们对放射线的性质进行了深入研究,如图为三种射线在同一磁场中的运动轨迹,请从三种射线中任选一种,写出它的名称和一种用途.
 

(2)在可控核反应堆中需要给快中子减速,轻水、重水和石墨等常用作减速剂.中子在重水中可与12H核碰撞减速,在石墨中与612C核碰撞减速.上述碰撞可简化为弹性碰撞模型.某反应堆中快中子与静止的靶核发生对心正碰,通过计算说明,仅从一次碰撞考虑,用重水和石墨作减速剂,哪种减速效果更好?

查看答案和解析>>

科目:高中物理 来源: 题型:

在可控核反应堆中需要给快中子减速,轻水、重水和石墨等常用作减速剂.中子在重水中可与
 
2
1
H
核碰撞减速,在石墨中与
 
12
6
C
核碰撞减速.上述碰撞可简化为弹性碰撞模型.某反应堆中快中子与静止的靶核发生对心正碰,通过计算说明,仅从一次碰撞考虑,用重水和石墨作减速剂,哪种减速效果更好?

查看答案和解析>>

科目:高中物理 来源: 题型:

(10分)在可控核反应堆中需要给快中子减速,轻水、重水和石墨等常用作减速剂。中子在重水中可与核碰撞减速,在石墨中与核碰撞减速。上述碰撞可简化为弹性碰撞模型。某反应堆中快中子与静止的靶核发生对心正碰,通过计算说明,仅从一次碰撞考虑,用重水和石墨作减速剂,哪种减速效果更好?

查看答案和解析>>

同步练习册答案