精英家教网 > 高中物理 > 题目详情
如图所示,条形区域AA'BB'中存在方向垂直于纸面向外的匀强磁场,磁感应强度B的大小为0.3 T,AA'、BB'为磁场边界,它们相互平行,条形区域的长度足够长,宽度d=1 m。一束带正电的某种粒子从AA'上的O点以沿着与AA'成60°角、大小不同的速度射入磁场,当粒子的速度小于某一值v0时,粒子在磁场区域内的运动时间t0=4×10-6 s;当粒子速度为v1时,刚好垂直边界BB'射出磁场。取π=3,不计粒子所受重力。求:
(1)粒子的比荷
(2)速度v0和v1的大小。
解:(1)若粒子的速度小于某一值v0时,则粒子不能从BB'离开磁场区域,只能从AA'边离开,无论粒子速度大小,在磁场中运动的时间相同,轨迹如图所示(图中只画了一个粒子的轨迹)
 
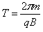
粒子在磁场区域内做圆周运动的圆心角均为φ1=240°
运动时间

解得或3.3×106 C/kg
(2)当粒子速度为v0时,粒子在磁场内的运动轨迹刚好与B'边界相切,此时有R0+R0sin30°=d


当粒子速度为v1时,刚好垂直边界BB'射出磁场区域,此时轨迹所对圆心角φ2=30°,有R1sin30°=d

得v1=2×106 m/s
练习册系列答案
相关习题

科目:高中物理 来源: 题型:

精英家教网如图所示,MN是一荧光屏,当带电粒子打到荧光屏上时,荧光屏能够发光.MN的上方有磁感应强度为B的匀强磁场,磁场方向垂直纸面向里.P为屏上的一小孔,PQ与MN垂直.一群质量为m、带电荷量q的粒子(不计重力),以相同的速率v,从P处沿垂直于磁场方向射入磁场区域,且分布在与PQ夹角为θ的范围内,不计粒子间的相互作用.则以下说法正确的是(  )

查看答案和解析>>

科目:高中物理 来源: 题型:

如图所示,条形匀强电场区域和条形匀强磁场区域是紧邻的,且宽度相等均为 d ,电场方向在纸平面内,而磁场方向垂直纸面向里.一带正电粒子从 O 点以速度 v0 沿垂直电场方向进入电场,在电场力的作用下发生偏转,从 A 点离开电场进入磁场,离开电场时带电粒子在电场方向的位移为电场宽度的一半,当粒子从C点穿出磁场时速度方向与进入电场O点时的速度方向一致,(带电粒子重力不计)求:

  

(1)粒子从 C 点穿出磁场时的速度v 大小

(2)粒子在电场、磁场中运动的总时间

(3)电场强度 E 和磁感应强度 B 的比值 E / B

 

查看答案和解析>>

科目:高中物理 来源:2012届山东省淄博市第一中学高三教学质量检测(四)理科综合物理试题(带解析) 题型:计算题

如图所示,条形匀强电场区域和条形匀强磁场区域是紧邻的,且宽度相等均为 d ,电场方向在纸平面内,而磁场方向垂直纸面向里.一带正电粒子从 O 点以速度 v0沿垂直电场方向进入电场,在电场力的作用下发生偏转,从 A 点离开电场进入磁场,离开电场时带电粒子在电场方向的位移为电场宽度的一半,当粒子从C点穿出磁场时速度方向与进入电场O点时的速度方向一致,(带电粒子重力不计)求:
  
(1)粒子从 C 点穿出磁场时的速度v 大小
(2)粒子在电场、磁场中运动的总时间
(3)电场强度 E 和磁感应强度 B 的比值 E / B

查看答案和解析>>

科目:高中物理 来源:2011-2012学年山东省淄博市高三教学质量检测(四)理科综合物理试题(解析版) 题型:计算题

如图所示,条形匀强电场区域和条形匀强磁场区域是紧邻的,且宽度相等均为 d ,电场方向在纸平面内,而磁场方向垂直纸面向里.一带正电粒子从 O 点以速度 v0 沿垂直电场方向进入电场,在电场力的作用下发生偏转,从 A 点离开电场进入磁场,离开电场时带电粒子在电场方向的位移为电场宽度的一半,当粒子从C点穿出磁场时速度方向与进入电场O点时的速度方向一致,(带电粒子重力不计)求:

  

(1)粒子从 C 点穿出磁场时的速度v 大小

(2)粒子在电场、磁场中运动的总时间

(3)电场强度 E 和磁感应强度 B 的比值 E / B

 

查看答案和解析>>

科目:高中物理 来源: 题型:

如图所示,条形匀强电场区域和条形匀强磁场区域是紧邻的,且宽度相等均为 d ,电场方向在纸平面内,而磁场方向垂直纸面向里.一带正电粒子从 O 点以速度 v0 沿垂直电场方向进入电场,在电场力的作用下发生偏转,从 A 点离开电场进入磁场,离开电场时带电粒子在电场方向的位移为电场宽度的一半,当粒子从C点穿出磁场时速度方向与进入电场O点时的速度方向一致,(带电粒子重力不计)求:

   (1)粒子从 C 点穿出磁场时的速度v 大小

(2)粒子在电场、磁场中运动的总时间

(3)电场强度 E 和磁感应强度 B 的比值 E / B

查看答案和解析>>

同步练习册答案