ÈçͼËùʾ£¬¼×ÊÇÒ»¸ö´øµçÁ¿Îª-qµÄСÎï¿é£¬ÆäÖÊÁ¿Îªm1£®ÒÒÊÇÒ»¸ö²»´øµçµÄ³¤·½Ìå¾øÔµÎï¿é£¬ÆäÖÊÁ¿Îªm2£®¼×¡¢ÒÒµþ·ÅÔÚÒ»ÆðÖÃÓڹ⻬µÄˮƽµØ°åÉÏ£®¼×¡¢ÒÒÖ®¼äµÄ¶¯Ä¦²ÁÒòÊýΪ¦Ì£¬¼ÙÉèËüÃÇÖ®¼äµÄ×î´ó¾²Ä¦²ÁÁ¦µÈÓÚ»¬¶¯Ä¦²ÁÁ¦£®µØ°åÉÏ·½Óд¹Ö±Ö½ÃæÏòÀïµÄˮƽ·½ÏòµÄÔÈÇ¿´Å³¡£¬´Å³¡µÄ´Å¸ÐӦǿ¶ÈΪB£®ÏÖÓôóСΪFµÄˮƽºãÁ¦À­ÒÒÎï¿é£¬Ê¹¼×¡¢ÒÒÒ»ÆðÓɾ²Ö¹¿ªÊ¼Ïò×ó¼ÓËÙÔ˶¯£®ÒÑÖªµ±µØµÄÖØÁ¦¼ÓËÙ¶ÈΪg£®ÊÔÇó£º
£¨1£©¼×¡¢ÒÒ¸ÕÒª·¢ÉúÏà¶Ô»¬¶¯Ê±ÒÒ¶ÔµØÃæµÄѹÁ¦´óС£»
£¨2£©´Ó¿ªÊ¼Ô˶¯µ½¼×¡¢ÒÒ¸ÕÒª·¢ÉúÏà¶Ô»¬¶¯µÄ¹ý³ÌÖУ¬Á¦F×öµÄ¹¦£®

¡¾´ð°¸¡¿·ÖÎö£º£¨1£©ÏȶÔÕûÌåÊÜÁ¦·ÖÎö£¬¸ù¾ÝÅ£¶ÙµÚ¶þ¶¨ÂÉÇó½â¼ÓËÙ¶È£»È»ºó¶ÔÎïÌå¼×ÊÜÁ¦·ÖÎö£¬¸ù¾ÝÅ£¶ÙµÚ¶þ¶¨ÂÉÇó½â¾²Ä¦²ÁÁ¦£»¼×¡¢ÒÒ¸ÕÒª·¢ÉúÏà¶Ô»¬¶¯µÄÁÙ½çÌõ¼þÊÇÁ½¸öÎïÌå¼äµÄ¾²Ä¦²ÁÁ¦´ïµ½×î´óÖµ£»

£¨2£©¸ù¾ÝÂåÂ××ÈÁ¦¹«Ê½f=qvBÇó½â³öËÙ¶È£¬È»ºó¸ù¾Ý¶¯Äܶ¨ÀíÁÐʽÇó½âÀ­Á¦FµÄ¹¦£®
½â´ð£º½â£º£¨1£©¸ù¾ÝÅ£¶ÙµÚ¶þ¶¨ÂÉ£¬¼×¡¢ÒÒÒ»Æð×öÔȼÓËÙÔ˶¯¹ý³ÌÖеļÓËÙ¶ÈΪ  
Éè¼×¡¢ÒÒ¸ÕÒª·¢ÉúÏà¶Ô»¬¶¯Ê±£¬¼×µÄËÙ¶ÈΪv£¬¶Ô¼×Ó¦ÓÃÅ£¶ÙµÚ¶þ¶¨ÂÉ£¬ÓЦ̣¨m1g-qvB£©=m1a
½«¼×¡¢ÒÒ×÷ΪÕûÌåΪÑо¿¶ÔÏ󣬸ù¾ÝÅ£¶ÙµÚÈý¶¨ÂɺÍÎïÌåµÄƽºâÌõ¼þ£¬¼×¡¢ÒÒ¸ÕÒª·¢ÉúÏà¶Ô»¬¶¯Ê±ÒÒ¶ÔµØÃæµÄѹÁ¦´óСΪ
£¨2£©ÓÉÉÏÃæµÄµÚ¶þ¸öʽ×Ó½âµÃ 
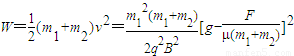
´Ó¿ªÊ¼Ô˶¯µ½¼×¡¢ÒÒ¸ÕÒª·¢ÉúÏà¶Ô»¬¶¯µÄ¹ý³ÌÖУ¬½«¼×¡¢ÒÒ×÷ΪÕûÌåΪÑо¿¶ÔÏ󣬸ù¾Ý¶¯Äܶ¨Àí£¬Á¦F×öµÄ¹¦Îª
´ð£º£¨1£©¼×¡¢ÒÒ¸ÕÒª·¢ÉúÏà¶Ô»¬¶¯Ê±ÒÒ¶ÔµØÃæµÄѹÁ¦´óСΪ£»
£¨2£©´Ó¿ªÊ¼Ô˶¯µ½¼×¡¢ÒÒ¸ÕÒª·¢ÉúÏà¶Ô»¬¶¯µÄ¹ý³ÌÖУ¬Á¦F×öµÄ¹¦Îª£®
µãÆÀ£º±¾Ìâ¹Ø¼üÃ÷È·ÕûÌå×öÔȼÓËÙÖ±ÏßÔ˶¯£¬ÖªµÀÎïÌå¼×µÄÊÜÁ¦Çé¿ö£¬Ã÷È·Ç¡ºÃ»¬¶¯µÄÁÙ½çÌõ¼þ£¬²»ÄÑ£®
Á·Ï°²áϵÁдð°¸
Ïà¹ØÏ°Ìâ

¿ÆÄ¿£º¸ßÖÐÎïÀí À´Ô´£º ÌâÐÍ£º

£¨2007?×Ͳ©Ä£Ä⣩ÈçͼËùʾ£¬¼×ÊÇÒ»¸ö´øÕýµçµÄСÎï¿é£¬ÒÒÊÇÒ»¸ö²»´øµçµÄ¾øÔµÎï¿é£¬¼×¡¢ÒÒµþ·ÅÔÚÒ»Æð¾²ÖÃÓÚ´Ö²ÚµÄˮƽµØ°åÉÏ£¬µØ°åÉÏ·½¿Õ¼äÓÐˮƽ·½ÏòµÄÔÈÇ¿´Å³¡£®ÏÖÓÃˮƽºãÁ¦À­ÒÒÎï¿é£¬Ê¹¼×¡¢ÒÒÎÞÏà¶Ô»¬¶¯µØÒ»ÆðˮƽÏò×ó¼ÓËÙÔ˶¯£¬ÔÚ¼ÓËÙÔ˶¯½×¶Î£¨¡¡¡¡£©

²é¿´´ð°¸ºÍ½âÎö>>

¿ÆÄ¿£º¸ßÖÐÎïÀí À´Ô´£º ÌâÐÍ£º

ÈçͼËùʾ£¬¼×ÊÇÒ»¸ö´øÕýµçµÄСÎï¿é£¬ÒÒÊÇÒ»¸ö²»´øµçµÄ¾øÔµÎï¿é£®¼×¡¢ÒÒµþ·ÅÔÚÒ»ÆðÖÃÓÚ´Ö²ÚË®Æ½ÃæÉÏ£¬Ë®Æ½ÃæÉÏ·½Óд¹Ö±ÓÚÖ½ÃæÏòÀïµÄÔÈÇ¿´Å³¡£®ÏÖÓÃÒ»¸öˮƽºãÁ¦À­ÒÒÎï¿é£¬Ê¹¼×¡¢ÒÒÎÞÏà¶Ô»¬¶¯µØÒ»ÆðÏò×ó¼ÓËÙÔ˶¯£®ÔÚ¹²Í¬¼ÓËٽ׶Σ¬ÏÂÁÐ˵·¨ÖÐÕýÈ·µÄÊÇ£¨¡¡¡¡£©

²é¿´´ð°¸ºÍ½âÎö>>

¿ÆÄ¿£º¸ßÖÐÎïÀí À´Ô´£º ÌâÐÍ£º

ÈçͼËùʾ£¬¼×ÊÇÒ»¸ö´øÕýµçµÄСÎï¿é£¬ÒÒÊÇÒ»¸ö²»´øµçµÄ¾øÔµ³¤·½ÌåÎï¿é£¬¼×¡¢ÒÒµþ·ÅÔÚÒ»Æð¾²ÖÃÓÚ´Ö²ÚµÄˮƽµØ°åÉÏ£¬µØ°åÉÏ·½¿Õ¼äÓÐˮƽ·½ÏòµÄÔÈÇ¿´Å³¡£®ÏÖÓÃˮƽºãÁ¦À­ÒÒÎï¿é£¬Ê¹¼×¡¢ÒÒÎÞÏà¶Ô»¬¶¯µØÒ»ÆðˮƽÏò×ó¼ÓËÙÔ˶¯£¬ÔÚ¼ÓËÙÔ˶¯¹ý³ÌÖУ¨¡¡¡¡£©

²é¿´´ð°¸ºÍ½âÎö>>

¿ÆÄ¿£º¸ßÖÐÎïÀí À´Ô´£º ÌâÐÍ£º

£¨2006?Íþº£Ä£Ä⣩ÈçͼËùʾ£¬¼×ÊÇÒ»¸ö´øµçÁ¿Îª-qµÄСÎï¿é£¬ÆäÖÊÁ¿Îªm1£®ÒÒÊÇÒ»¸ö²»´øµçµÄ³¤·½Ìå¾øÔµÎï¿é£¬ÆäÖÊÁ¿Îªm2£®¼×¡¢ÒÒµþ·ÅÔÚÒ»ÆðÖÃÓڹ⻬µÄˮƽµØ°åÉÏ£®¼×¡¢ÒÒÖ®¼äµÄ¶¯Ä¦²ÁÒòÊýΪ¦Ì£¬¼ÙÉèËüÃÇÖ®¼äµÄ×î´ó¾²Ä¦²ÁÁ¦µÈÓÚ»¬¶¯Ä¦²ÁÁ¦£®µØ°åÉÏ·½Óд¹Ö±Ö½ÃæÏòÀïµÄˮƽ·½ÏòµÄÔÈÇ¿´Å³¡£¬´Å³¡µÄ´Å¸ÐӦǿ¶ÈΪB£®ÏÖÓôóСΪFµÄˮƽºãÁ¦À­ÒÒÎï¿é£¬Ê¹¼×¡¢ÒÒÒ»ÆðÓɾ²Ö¹¿ªÊ¼Ïò×ó¼ÓËÙÔ˶¯£®ÒÑÖªµ±µØµÄÖØÁ¦¼ÓËÙ¶ÈΪg£®ÊÔÇó£º
£¨1£©¼×¡¢ÒÒ¸ÕÒª·¢ÉúÏà¶Ô»¬¶¯Ê±ÒÒ¶ÔµØÃæµÄѹÁ¦´óС£»
£¨2£©´Ó¿ªÊ¼Ô˶¯µ½¼×¡¢ÒÒ¸ÕÒª·¢ÉúÏà¶Ô»¬¶¯µÄ¹ý³ÌÖУ¬Á¦F×öµÄ¹¦£®

²é¿´´ð°¸ºÍ½âÎö>>

¿ÆÄ¿£º¸ßÖÐÎïÀí À´Ô´£º ÌâÐÍ£º

¾«Ó¢¼Ò½ÌÍøÈçͼËùʾ£¬¼×ÊÇÒ»¸ö´øÕýµçµÄСÎï¿é£¬ÒÒÊÇÒ»¸ö²»´øµçµÄ¾øÔµÎï¿é£¬¼×¡¢ÒÒµþ·ÅÔÚÒ»ÆðÖÃÓÚ´Ö²ÚµÄˮƽµØ°åÉÏ£®µØ°åÉÏ·½ÓÐˮƽ·½ÏòµÄÔÈÇ¿´Å³¡£®ÏÖÓÃˮƽºãÁ¦À­ÒÒÎï¿é£¬Ê¹¼×¡¢ÒÒÎÞÏà¶Ô»¬¶¯µØÒ»ÆðˮƽÏò×ó¼ÓËÙÔ˶¯£¬ÔÚ¼ÓËÙÔ˶¯½×¶Î
¢ÙÒÒÎï¿éÓëµØÖ®¼äµÄĦ²ÁÁ¦²»¶ÏÔö´ó
¢Ú¼×¡¢ÒÒÁ½Îï¿é¼äµÄĦ²ÁÁ¦²»¶ÏÔö´ó
¢Û¼×¡¢ÒÒÁ½Îï¿é¼äµÄĦ²ÁÁ¦´óС²»±ä
¢Ü¼×¡¢ÒÒÁ½Îï¿é¼äµÄĦ²ÁÁ¦²»¶Ï¼õС£¨¡¡¡¡£©

²é¿´´ð°¸ºÍ½âÎö>>

ͬ²½Á·Ï°²á´ð°¸