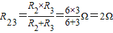
Èçͼ1Ëùʾµç·ÖУ¬µçÔ´µç¶¯ÊÆE=12V£¬ÄÚ×èr=2¦¸£¬R1=4¦¸£¬R2=6¦¸£¬R3=3¦¸£®
£¨1£©ÈôÔÚC¡¢D¼äÁ¬Ò»¸öÀíÏëµçѹ±í£¬Æä¶ÁÊýÊǶàÉÙ£¿
£¨2£©ÈôÔÚC¡¢D¼äÁ¬Ò»¸öÀíÏëµçÁ÷±í£¬Æä¶ÁÊýÊǶàÉÙ£¿
£¨3£©Í¼1ÖÐÐéÏß¿òÄڵĵ緿ɵÈЧΪһ¸öµçÔ´£¬¼´Í¼1¿ÉµÈЧΪͼ2£¬ÆäµÈЧµç¶¯ÊÆE¡äµÈÓÚCD¼äδ½ÓÈëÓõçÆ÷ʱCD¼äµÄµçѹ£»ÈôÓõ¼ÏßÖ±½Ó½«CDÁ½µãÁ¬½ÓÆðÀ´£¬Í¨¹ý¸Ãµ¼ÏߵĵçÁ÷µÈÓÚµÈЧµçÔ´µÄ¶Ì·µçÁ÷£¬ÔòµÈЧµçÔ´µÄÄÚµç×èr¡äÊǶàÉÙ£¿
£¨4£©ÈôÔÚC¡¢D¼äÁ¬Ò»¸ö¡°6V£¬3W¡±µÄСµÆÅÝ£¬ÔòСµÆÅݵÄʵ¼Ê¹¦ÂÊÊǶàÉÙ£¿

¡¾´ð°¸¡¿·ÖÎö£º¸ù¾Ý±ÕºÏµç·ŷķ¶¨ÂÉ£¬ÓÉE¡¢r¡¢R1¡¢R2¡¢R3£¬¿ÉÇó³öÁ½µç±íµÄ¶ÁÊý£»¸ù¾ÝµÈЧµçÔ´µÄµÈЧµç¶¯ÊƺͶÌ·µçÁ÷£¬ÄÜÇó³öµÈЧÄÚ×裻
½â´ð£º½â£º£¨1£©ÈôÔÚC¡¢D¼äÁ¬Ò»¸öÀíÏëµçѹ±í£¬¸ù¾Ý±ÕºÏµç·ŷķ¶¨ÂÉ£¬
         ÓÐ
        ÀíÏëµçѹ±í¶ÁÊýΪUV=I1R2=6V                       
£¨2£©ÈôÔÚC¡¢D¼äÁ¬Ò»¸öÀíÏëµçÁ÷±í£¬Õâʱµç×èR2ÓëR3²¢Áª£¬
     ²¢Áªµç×è´óС
     ¸ù¾Ý±ÕºÏµç·ŷķ¶¨ÂÉ£¬ÓÐ
    ÀíÏëµçÁ÷±í¶ÁÊýΪ
£¨3£©ÒÀÌâÒ⣬¸ÃµÈЧµçÔ´µÄµç¶¯ÊÆE¡ä=6V£¬
     ¶Ì·µçÁ÷ÓëµÚ£¨2£©ÎÊÖеçÁ÷±í¶ÁÊýÏàͬ£¬¼´ÎªI¡ä=1A£¬
    ËùÒÔÆäµÈЧÄÚ×è
£¨4£©Ð¡µÆÅݵĵç×è
    ½«Ð¡µÆÅÝÁ¬ÔÚC¡¢DÖ®¼ä£¬Ï൱ÓÚ½ÓÔÚµÈЧµçÔ´E¡äÁ½¶Ë£¬
   ÔòÁ÷¹ýСµÆÅݵĵçÁ÷´óСΪ
  СµÆÅݵÄʵ¼Ê¹¦ÂÊΪ
¹Ê´ð°¸Îª£º6V£¬1A£¬6¦¸£¬1.33W£®
µãÆÀ£ºµÈЧ·¨ÊÇÎïÀí³£ÓõÄÑо¿·½·¨£¬µç·µÄ·ÖÎöºÍ¼ÆËãÒª¶Ôµç·µÄ½á¹¹¡¢µçѹ¡¢µçÁ÷µÈµÄ·ÖÅä·ÖÎöÇå³þ²ÅÄÜÕýÈ·Çó½â£®
Á·Ï°²áϵÁдð°¸
Ïà¹ØÏ°Ìâ

¿ÆÄ¿£º¸ßÖÐÎïÀí À´Ô´£º ÌâÐÍ£º

Ìý˵ˮ¹ûÒ²ÄÜ×öµç³Ø£¬Ä³ÐËȤС×éµÄͬѧÓÃÒ»¸öÄûÃÊ×ö³Éµç³Ø£®ËûÃDzÂÏëË®¹ûµç³ØÄÚ×è ¿ÉÄܽϴ󣬴ӶøÉè¼ÆÁËÒ»¸öÈçͼ1Ëùʾµç·À´²â¶¨¸ÃÄûÃÊµç³ØµÄµç¶¯ÊƺÍÄÚµç×裮ʵÑéÖÐËûÃÇ ¶à´Î¸Ä±äµç×èÏäµÄµç×èÖµ£¬¼Ç¼Ïµç×èÏäµÄ×èÖµ¼°ÏàÓ¦µÄµçÁ÷¼ÆÊ¾Êý£¬²¢Ëã³öµçÁ÷µÄµ¹Êý£¬½«Êý¾ÝÌîÔÚÈçϵıí¸ñÖУ¬¸ù¾Ý¼Ç¼Êý¾ÝÔÚͼ2µÄ×ø±êÖ½ÉÏ×ö³ö R-
1I
 Í¼Ïߣ®
£¨1£©ÀûÓÃ×÷³öµÄͼÏ󣬿ÉÇó³ö¸ÃÄûÃÊµç³ØµÄµç¶¯ÊÆÎª
0.96
0.96
V£¬ÄÚ×èΪ
1.05¡Á104¦¸
1.05¡Á104¦¸
¦¸£®
£¨2 £©Íê³ÉʵÑéºó£¬¸ÃÐËȤС×éµÄͬѧ³õ²½µÃ³öÁËË®¹û×÷Ϊµç³Ø²»ÊµÓõÄÎïÀíÔ­ÒòÊÇ£º
µçÔ´ÄÚ×è¹ý´ó
µçÔ´ÄÚ×è¹ý´ó

²é¿´´ð°¸ºÍ½âÎö>>

¿ÆÄ¿£º¸ßÖÐÎïÀí À´Ô´£º ÌâÐÍ£º

£¨1£©ÓÃÓαêÉÏÓÐ50¸öСµÄµÈ·Ö¿Ì¶ÈµÄÓα꿨³ß²âÁ¿Ò»¹¤¼þµÄÖ±¾¶£¬²âÁ¿½á¹ûÈçͼ1Ëùʾ£¬´Ë¹¤¼þµÄÖ±¾¶Îª
2.642
2.642
cm£®

£¨2£©Îª¶ÍÁ¶ÉíÌ壬СÃ÷ÀûÓÃËùѧÎïÀí֪ʶÉè¼ÆÁËÒ»¸öµç×ÓÀ­Á¦¼Æ£¬Í¼2AÊÇÔ­Àíͼ£®Ó²Öʵ¯»ÉÓҶ˺ͽðÊô»¬Æ¬P¹Ì¶¨ÔÚÒ»Æð£¨µ¯»ÉµÄµç×è²»¼Æ£¬PÓëR1¼äµÄĦ²Á²»¼Æ£©£®¶¨Öµµç×èR0=5¦¸£¬a¡¢bÊÇÒ»¸ù³¤Îª5cmµÄ¾ùÔȵç×èË¿£¬×èÖµR1=25¦¸£¬µçÔ´µçѹºã¶¨U=3V£¬µçÁ÷±íµÄÁ¿³ÌΪ O¡«0.6A£®
¢ÙСÃ÷ÔÚµç·ÖÐÁ¬ÈëR0µÄÄ¿µÄÊÇ
·ÀÖ¹µçÁ÷¹ý´ó¶øÉÕ»µµçÁ÷±í£¨»ò´ð±£»¤µç·£©
·ÀÖ¹µçÁ÷¹ý´ó¶øÉÕ»µµçÁ÷±í£¨»ò´ð±£»¤µç·£©
£®
¢Úµ±À­»·²»ÊÜÀ­Á¦Ê±£¬»¬Æ¬P´¦ÓÚa¶Ë£¬±ÕºÏ¿ª¹ØºóµçÁ÷±íµÄ¶ÁÊýΪ
0.1
0.1
A£®
¢ÛÒÑÖª¸Ãµ¯»ÉÉ쳤µÄ³¤¶È¡÷LÓëËùÊÜÀ­Á¦F¼äµÄ¹ØÏµÈçͼ2BËùʾ£®¿ª¹ØS±ÕºÏºó£¬µ±µçÁ÷±íÖ¸ÕëÖ¸ÔÚ0.3A´¦£¬×÷ÓÃÔÚÀ­»·ÉÏˮƽÏòÓÒµÄÀ­Á¦Îª
400
400
N£®

²é¿´´ð°¸ºÍ½âÎö>>

¿ÆÄ¿£º¸ßÖÐÎïÀí À´Ô´£º ÌâÐÍ£º

¾«Ó¢¼Ò½ÌÍøÓÃµç¶¯ÊÆÔ¼Îª18VµÄµçÔ´¡¢Á¿³ÌΪ15VµÄµçѹ±íºÍÁ¿³ÌΪ10mAµÄµçÁ÷±íµÈÆ÷²Ä£¬×é³ÉÈçͼ1ËùʾµÄµç·²âÁ¿µç×è
£¨1£©Ç밴ͼ1µÄÔ­Àíµç·£¬½«Í¼2ÖеÄʵÎïÁ¬Ïß²¹³äÍêÕû£»
£¨2£©ÊµÑéʱÏȰѿª¹ØS²¦Ïòb£¬µ÷½Ú»¬¶¯±ä×èÆ÷£¬Ê¹µçѹ±íºÍµçÁ÷±íÓÐÒ»ºÏÊʵĶÁÊý£¬U=8.16V£¬I=8mA£¬ÔòRxµÄ²âÁ¿ÖµÎª
 
¦¸£»
£¨3£©Ê¹µç×èÏäµÄ×èÖµÊʵ±£¬°Ñ¿ª¹ØS²¦Ïòc£¬Î¢µ÷µç×èÏäµÄµç×èÖµ£¬Ê¹µçѹ±í¡¢µçÁ÷±íµÄʾÊýÓ루2£©ÖÐÏàͬ£¬¶ÁµÃ´Ëʱµç×èÏäµÄ×èÖµR=999¦¸£»
£¨4£©´Ó²½Ö裨2£©µ½²½Ö裨3£©£¬»¬¶¯±ä×èÆ÷µÄ»¬¶¯´¥Í·Î»ÖÃ
 
£¨Ìî¡°ÄÜ¡±»ò¡°²»ÄÜ¡±£©±ä»¯£»
£¨5£©ÀûÓòâµÃµÄÊý¾Ý£¬»¹¿ÉÒԵõ½µçÁ÷±íµÄÄÚµç×èµÈÓÚ
 
¦¸£®

²é¿´´ð°¸ºÍ½âÎö>>

¿ÆÄ¿£º¸ßÖÐÎïÀí À´Ô´£º2009¸ß¿¼Ò»ÂÖ¸´Ï°¸ß¿¼ÎïÀí°å¿é¸´Ï° ÌâÐÍ£º022

Èçͼ¼×Ëùʾ£¬ÎªÄ³Ò»ÈÈÃôµç×è(µç×èÖµËæÎÂ¶ÈµÄ¸Ä±ä¶ø¸Ä±ä£¬ÇÒ¶ÔζȺÜÃô¸Ð)µÄI£­U¹ØÏµÇúÏßͼ£®

(1)ΪÁËͨ¹ý²âÁ¿µÃµ½ÈçͼËùʾµÄI£­U¹ØÏµµÄÍêÕûÇúÏߣ¬ÔÚͼÒÒºÍͼ±ûÁ½¸öµç·ÖÐӦѡÔñµÄÊÇͼ________£¬¼òҪ˵Ã÷ÀíÓÉ________£®(µçÔ´µç¶¯ÊÆ9 V£¬ÄÚ×è²»¼Æ£¬»¬¶¯±ä×èÆ÷µÄ×èֵΪ0¡«100 ¦¸)

(2)ÔÚÈçͼ¶¡Ëùʾµç·ÖУ¬µçÔ´µçѹºãΪ9 V£¬µçÁ÷±í¶ÁÊýΪ70 mA£¬¶¨Öµµç×èR1£½250 ¦¸£¬ÓÉÈÈÃôµç×èµÄI£­U¹ØÏµÇúÏß¿ÉÖª£¬ÈÈÃôµç×èÁ½¶ËµçѹΪ ________V£¬µç×èR2µÄ×èֵΪ________¦¸£®

²é¿´´ð°¸ºÍ½âÎö>>

¿ÆÄ¿£º¸ßÖÐÎïÀí À´Ô´£º ÌâÐÍ£º

(1)ijѧÉúÓõçÁ÷±íºÍµçѹ±í²â¸Éµç³ØµÄµç¶¯ÊƺÍÄÚ×èʱ£¬Á¬½Óµç·µÄʵÎïͼÈçͼËùʾ¡£ÏÂÁжԸÃѧÉú½ÓÏßµÄ˵·¨ÕýÈ·µÄÊÇ________£®

A£®»¬¶¯±ä×èÆ÷²»Æð±ä×è×÷ÓÃ

B£®µçÁ÷±í½ÓÏßÓдí

C£®µçѹ±íÁ¿³ÌÑ¡Óò»µ±

D£®µçѹ±í½ÓÏßÕýÈ·

(2)ÔÚÈçͼ¼×Ëùʾµç·ÖУ¬ºÏÉÏ¿ª¹Ø£¬µçÁ÷±íºÍµçѹ±íµÄ¶ÁÊýÕý³££¬µ±½«»¬¶¯±ä×èÆ÷µÄ»¬¶¯´¥Í·ÓÉA¶ËÏòB¶ËÖð½¥»¬¶¯Ê±£¬·¢ÏÖµçÁ÷±íµÄʾÊýÖð½¥Ôö´ó£¬¶øµçѹ±íµÄʾÊý½Ó½ü1.5VÇÒ¼¸ºõ²»±ä£¬Ö±µ½µ±»¬¶¯´¥Í·»¬ÖÁÁÙ½üB¶Ëʱµçѹ±íµÄʾÊý²Å¼±¾ç±ä»¯£¬³öÏÖÉÏÊöÇé¿öµÄÔ­ÒòÊÇ_____________________£®¸Ä½øºó£¬²â³ö¼¸×éµçÁ÷¡¢µçѹµÄÊýÖµ£¬²¢»­³öͼÏóÈçͼÒÒËùʾ£¬ÓÉͼÏó¿ÉÖª£¬Õâ¸öµçºèµÄµç¶¯ÊÆÎªE£½________V£¬ÄÚµç×èr£½_______¦¸


²é¿´´ð°¸ºÍ½âÎö>>

ͬ²½Á·Ï°²á´ð°¸